Información
Equipo Nizkor
        Tienda | Donaciones Online
Derechos | Equipo Nizkor       

01feb13


Informe policial analizando la contabilidad personal de Jesús Sepúlveda Recio


Dirección General de la Policia
Cuerpo Nacional de Policía
Comisaría General de Policía Judicial
Unidad Central de Delincuencia Económica y Fiscal
Brigada Central de Blanqueo de Capitales y Anticorrupción

INFORME

N/Refª: Registro de Salida número 10.418/'13 UDEF-BLA
S/Refª: Diligencias Previas número 275/'08.
Fecha: 01 de febrero de 2013
Asunto: Rdo. Informe ampliatorio sobre Jesús SEPÚLVEDA RECIO.
Destinatario: Juzgado Central de Instrucción num. 5. Audiencia Nacional


INDICE DE CONTENIDOS:

1 Resumen Ejecutivo
2 Introducción
3 Análisis de la documentación hallada en interior de carpeta "EXTRACTO CTA. J. SEPULVEDA"

4 Organización de distintos eventos particulares a nombre de Jesús SEPÚLVEDA RECIO

5 Pago de obsequios por parte de la organización de Francisco CORREA SANCHEZ
6 Identificación de la persona de Jesús SEPÚLVEDA RECIO bajo las siglas J.S
7 Conclusiones
8 Documentación que se adjunta


1 Resumen Ejecutivo

En base a la providencia dictada con fecha 25 de octubre de 2012 por el magistrado instructor en el que se requería, conforme a lo solicitado por la Fiscalía en su informe n° 3551, a esta Unidad de Auxilio Judicial y a la ONIF Informe ampliatorio sobre las entregas y regalos que, de acuerdo a los indicios obrantes en la causa, se habrían efectuado al imputado Jesús SEPÚLEVEDA RECIO, se aporta el conjunto de información obtenida del análisis de la documentación intervenida en el registro efectuado en una nave industrial sita en Calle Arganda, 11, Polígono "Ventorro del Cano", de la localidad de Alcorcón (Madrid), alquilada por la entidad EASY CONCEPT COMUNICACIÓN SL.

La metodología utilizada para la realización del presente Informe ha consistido en el análisis de la documentación incautada en el registro, así como su puesta en relación con el resto de documentación hallada en los otros registros practicados y con las diversas informaciones obtenidas mediante requerimientos realizados tanto por los órganos judiciales, como por este grupo de Investigación a entidades privadas.

Jesús SEPÚLVEDA RECIO era uno de los responsables políticos y cargos públicos con los que Francisco CORREA mantenía una estrecha relación persistente en el tiempo.

De esta forma la organización disponía de un archivo en formato papel denominado con el título de "EXTRACTO CTA. J. SEPÚLVEDA" integrado por la información relativa al conjunto de servicios turísticos prestados durante el periodo de tiempo comprendido entre 2000 y 2004 para él y su entorno familiar así como el extracto de la denominada "Cuenta de servicios Pozuelo" vinculada a los servicios llevados a cabo para el despacho electoral de esta persona relativos a la campaña electoral de las elecciones municipales de mayo de 2003, y otros actos relacionados.

Los servicios de naturaleza turística, entre los años 2.000 y 2.004, cuyo montante asciende a 50.049,01 €, que comprenden desplazamiento y estancias tanto en España como en el exterior, eran gestionados por la sociedad PASADENA VIAJES y se facturaban bajo el concepto interno "Clientes Central", es decir la deuda contable generada por los mismos y anotada en la cuenta del cliente Jesús SEPÚLVEDA era saldada con cargo a fondos provenientes de la Caja B de Serrano mediante ingresos en efectivo en la cuenta bancaria de PASADENA en la entidad BBVA. De esta forma el conjunto de servicios prestados por PASADENA a Jesús SEPÚLVEDA generaban un "cobro ficticio" puesto que en lugar de desembolsarlos el beneficiario de los mismos eran abonados con fondos ajenos a los circuitos económicos de la organización.

La Cuenta Servicios Pozuelo es un sistema de anotación interna de la organización donde se recogen los fondos empleados para financiar las operaciones vinculadas al desarrollo de actuaciones de carácter electoral de Jesús SEPÚLVEDA cuando éste era alcalde de la localidad de Pozuelo de Alarcón. Los fondos aplicados están integrados tanto por entregas de dinero en efectivo aportados por los responsables de la organización Francisco CORREA, Pablo CRESPO o Álvaro PÉREZ con origen en la Caja B de Serrano (60.000€); como por el pago directo de servicios prestados para el despacho electoral a través de terceros empleando a su sociedad SPECIAL EVENTS para facturarlos, y por la asunción del coste de actos electorales llevados a cabo.

Asimismo existen otros servicios de carácter privado prestados a Jesús SEPÚLVEDA gestionados por la organización entre 2001 y 2005 cuyo montante asciende al menos a 4.554,24€ abonados ya sea mediante transferencia desde la posición bancaria de SPECIAL EVENTS o ya sea con cheque bancario o entregas de efectivo. En las hojas de costes, que recogen el estadillo de los gastos imputados, la cantidad facturada y del beneficio obtenido, correspondientes a los eventos de los años 2001 y 2002 no consta que hayan sido facturados al cliente final figurando el beneficio en negativo por el importe correspondiente al coste del mismo, es decir el gasto ha sido asumido totalmente por la organización.

En el conjunto de documentos analizados se identifica a Jesús SEPÚLVEDA RECIO de diferentes formas: con la inicial del nombre seguido del primer apellido "J. SEPÚLVEDA", o con los acrónimos de su nombre y apellido "JS." "J.S.", en el sentido ya expuesto en otros soportes ya analizados. Por tanto existe una continuidad en la forma de designar a esta persona dentro de la organización, persistente en el tiempo que no responde a una denominación casual, particular o caprichosa sino que obedece a una clara fórmula de identificación estandarizada.

2 Introducción

A partir del análisis preliminar de la documentación intervenida en los registros efectuados en el transcurso del operativo policial como consecuencia de los autos dictados por el Juzgado Central de Instrucción número cinco de la Audiencia Nacional en el marco de las Diligencias Previas 275/'08, se han ido aportando un conjunto de informes relativos a la participación de cargos públicos en las actividades de la organización de Francisco CORREA SÁNCHEZ: BLA 17.843 de fecha 23-01-'09, BLA 18.784 de fecha 25-02-'09, BLA 20.399 de fecha 27-02-'09, BLA 22.575 de fecha 5-03-'09, BLA 23.076 de fecha 6-03-'09, BLA 28.728 de fecha 23-03-'09, BLA 28.745 de fecha 25-03-'09, BLA 45.406 de fecha 08-05-'09, BLA 56.567 de fecha 08-06-'09, BLA 89.843 de fecha 16-09-'09, BLA 98.435 de fecha 14-10-'09, BLA 4.841 de fecha 1901-11, BLA 19.805 de fecha 01-03-11, BLA 29.296 de fecha 25-03-'11, BLA 35.859 de fecha 12-04-11, BLA 46.756 de fecha 16-05-11, BLA 53.173 de 01-06-11 y BLA 97.484 de fecha 25/10/'11.

En dichos Informes se ha ido perfilando la dinámica interna de la organización configurada por Francisco CORREA SÁNCHEZ y que se describía en el apartado segundo relativo a la forma de actuar de la organización del Informe BLA 17.843 de fecha 23-01-'09. Francisco CORREA creó una estructura empresarial con una base en la empresa SPECIAL EVENTS SL, la cual organizaba los eventos de carácter político para el Partido Popular a nivel nacional, momento que aprovechó para establecer un conjunto de relaciones con las personas de la formación política responsables de las áreas electorales y de tesorería, así como otras personas del aparato del partido. Éstas relaciones le permitieron obtener negocio para las sociedades dedicadas a la organización de eventos en aquéllas Administraciones Públicas gobernadas por personas pertenecientes a dicha formación política por la actuación directa de los responsables políticos correspondientes.

Francisco CORREA a su vez ha desarrollado una intensa actividad como conseguidor de proyectos de obra pública, urbanísticos, infraestructuras, suministros de servicios públicos, etc. Su participación consiste en captar los proyectos de las Administraciones Públicas donde cuenta con personas afines dentro de los órganos decisorios en materia de contratación administrativa, presentando a empresas a los concursos previamente concertados por lo que obtiene una comisión. Dicha contraprestación es distribuida entre los responsables políticos que han participado de forma directa o indirecta en la adjudicación, ya sea porque tiene capacidad decisoria directa o bien porque influyen sobre éstos merced a su posición prevalente en el partido.

El cobro de las comisiones se produce mediante entregas de dinero en efectivo por parte de personas pertenecientes a las empresas adjudicatarias como queda constancia del análisis de los documentos intervenidos en el registro del domicilio de José Luís IZQUIERDO LÓPEZ, y es Francisco CORREA SÁNCHEZ quién establece la distribución de las mismas entre los partícipes en la consecución de la adjudicación. Posteriormente estas recepciones de dinero y las posteriores entregas son anotadas de forma exhaustiva por el contable de la organización José Luís IZQUIERDO LÓPEZ con el fin de llevar un control de los movimientos de fondos.

Durante el tiempo en que Jesús SEPÚLVEDA RECIO ha sido Alcalde de la localidad de Pozuelo de Alarcón (Madrid), entre los años 2.003 y 2.009, se produjo la entrada de las empresas de Francisco CORREA SÁNCHEZ en dicho municipio, mediante la adjudicación de contratos a alguna de las empresas bajo la dirección del mismo.

Los responsables políticos habrían recibido, a tenor del resultado del análisis de la documentación intervenida, y que se han plasmado en los Informes BLA 17.843 de fecha 23 de enero de 2009, BLA 28.728 de fecha 23 de marzo de 2009, y BLA 28.745 de fecha 25 de marzo de 2009 un conjunto de contraprestaciones tanto dinerarias, como son las entregas en metálico, como no dinerarias, mediante la entrega de objetos de lujo (vehículos, objetos de joyería/relojería, pantallas de TV de plasma, ropa, abonos de futbol, etc.) o en forma de viajes gestionados por la sociedad PASADENA VIAJES SL y pagados en su mayor parte con los fondos existentes en la caja B, del domicilio central del grupo en la calle Serrano 40 de Madrid.

A continuación se exponen un conjunto de informaciones derivadas del análisis de la documentación intervenida y examinada hasta la fecha, en especial del contenido de distintos documentos en soporte papel, intervenidos en el interior de una Nave, sita en Alcorcón (Madrid) donde se almacenaba documentación de las empresas de Fco. CORREA SANCHEZ, referidas a la persona de Jesús SEPULVEDA RECIO (Ex alcalde del municipio de Pozuelo de Alarcón), que vienen a ampliar y confirmar los hechos expuestos en nuestro anterior informe 4.841/^11 UDEF-BLA, de fecha 19-01-11, en donde se reflejan una serie de servicios prestados a dicha persona y/o personas allegadas a éste, de cuyo análisis se da cuenta acto seguido al objeto de reflejar los avances en la investigación producidos hasta la fecha.

3 Análisis de la documentación hallada en interior de carpeta "EXTRACTO CTA. J. SEPULVEDA".

Dentro del registro efectuado en la nave ubicada en la calle Arganda num. 11, del Polígono Ventorro del Cano, de Alcorcón (Madrid), en donde se almacenaba diversa documentación de la Sociedad Easy Concept Comunicación, SL. (R-13 Bis), ha sido hallada una carpeta bajo el nombre "EXTRACTO CTA. J. SEPULVEDA" (Folio 68.898, Tomo 78, R-13 Bis. Ver Anexo I), en cuyo interior se hayan numerosos documentos en soporte papel descriptivos de los distintos servicios turísticos prestados por la organización de Fco. CORREA SÁNCHEZ, a nombre de Jesús SEPÚLVEDA RECIO y/o distintos miembros de su familia, así como anotaciones de diversas entregas de dinero en efectivo y pago de gastos generados por el montaje y mantenimiento periódico de la oficina electoral de dicho cargo público, con motivo de las elecciones municipales del año 2.003 en la localidad de Pozuelo de Alarcón (Madrid).

En dicha Carpeta figura la siguiente anotación como título de la misma:

Acto seguido se procede a detallar los distintos documentos hallados en el interior de dicha carpeta bajo el nombre "EXTRACTO CTA. J. SEPULVEDA".

3.1 Servicios turísticos prestados en el año 2.003.

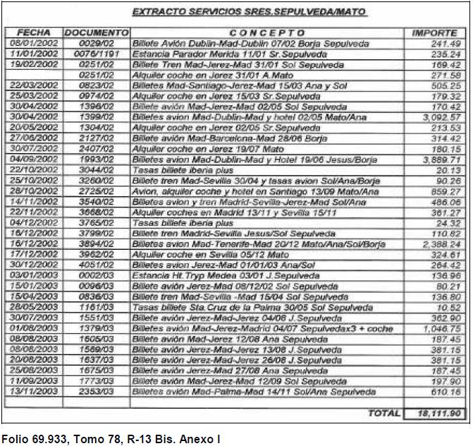
Son varios los documentos examinados que reflejan la existencia de distintos servicios turísticos particulares prestados por la agencia Pasadena Viajes, al Sr. Jesús SEPÚLVEDA RECIO y/o distintos miembros de su familia, a lo largo del año 2.003, que han sido abonados con fondos de la Caja B, de la organización de Francisco CORREA, tal y como se puede observar en la copia impresa de una tabla de Excel que se muestra acto seguido, bajo el título "EXTRACTO SERVICIOS SRES. SEPULVEDA/MATO" (Folio 69.933, Tomo 78, R-13 Bis).

A tenor de lo reflejado en dicho documento los distintos servicios turísticos prestados a nombre del llamado Jesús SEPULVEDA RECIO y/o distintos miembros de su familia, a lo largo de los años 2.002 y 2.003, asciende a un importe conjunto de 18.111,90 Euros (14.392,50 Euros en año 2.002 y 3.719,40 Euros en año 2.003).

Tal y como se puede observar en el Libro Mayor de Pasadena Viajes, SL (Balance de Sumas y Saldos), correspondiente al periodo 01-01-03 / 31-12-03, el llamado Jesús SEPULVEDA (Código cliente 430010043), presenta un saldo inicial de 14.392,50 Euros, un debe de 6.759,18 Euros, un haber de 18.111,90 Euros y un saldo pendiente de 3.039,78 Euros.

Dicho documento presenta anotación manuscrita en su parte inferior "COBRO FICTICIO 12/12/03" que será objeto de análisis con posterioridad en el apartado destinado a analizar la forma de pago de los distintos servicios turísticos prestados a nombre de Jesús SEPULVEDA RECIO y/o distintos miembros de su familia.

- Detalle de Servicios Turísticos Año 2.003:

El detalle de los servicios turísticos correspondientes al año 2.003 figura en la documentación intervenida en el Registro efectuado, cuya relación de equivalencia se recoge a continuación:

FECHA ALBARÁN N° FOLIO (R-13 BIS-TOMO 78) OBSERVACIONES
13/11/2003 2353/03/01 69.934 Cargo Clientes Central
11/09/2003 1773/03/01 69.936 Cargo Clientes Central
25/08/2003 1675/03/01 69.937 Cargo Clientes Central
20/08/2003 1637/03/01 69.938 "
08/08/2003 1569/03/01 69.939 "
08/08/2003 1605/03/01 69.940 "
01/08/2003 1379/03/01 69.941 "
30/07/2003 1551/03/01 69.942 "
28/05/2003 1161/03/01 69.943 "
15/04/2003 0863/03/01 69.944 "
15/01/2003 0096/03/01 69.945 "
03/01/2003 0002/03/01 69.946 "
30/12/2002 4051/02/01 69.970 "

Fuente: Elaboración propia a partir de la documentación intervenida

Apunte de fecha 13/11/2003:

Se corresponde con la emisión de dos billetes de avión I/V, entre el 14 y el 16/12/2.003, entre Palma de Mallorca y Madrid, por un importe de 610,16 Euros, tal y como se plasma en el Albarán 2353/03/01, de fecha 13-11-03, emitido por Pasadena Viajes, a nombre de Clientes Central. (Folio 69934, Tomo 78, R-13 Bis).

Apunte de fecha 11/09/2003:

Se corresponde con la emisión de un billete de avión I/V, entre el 12 y el 14/09/2.003, entre Madrid y Jerez de la Frontera, por un importe de 197,90 Euros, tal y como se plasma en el Albarán 1773/03/01, de fecha 11-09-03, emitido por Pasadena Viajes, a nombre de Clientes Central. (Folio 69936, Tomo 78, R-13 Bis).

Anotación de fecha 25/08/2003:

Se corresponde con la emisión de un billete de avión (Ida), el pasado 27/08/2.003, entre Jerez de la Frontera y Madrid, por un importe de 187,45 Euros, tal y como se plasma en el Albarán 1675/03/01, de fecha 25-08-03, emitido por Pasadena Viajes, a nombre de Clientes Central. (Folio 69937, Tomo 78, R-13 Bis).

Anotación de fecha 20/08/2003:

Se corresponde con la emisión de un billete de avión I/V, entre las fechas 26 y 27/08/2.003, entre Jerez de la Frontera y Madrid, así como gastos de mensajería, por un importe de 381,15 Euros, tal y como se plasma en el Albarán 1637/03/01, de fecha 20-08-03, emitido por Pasadena Viajes, a nombre de Clientes Central. (Folio 69938, Tomo 78, R-13 Bis).

Anotación de fecha 08/08/2003:

Se corresponde con la emisión de un billete de avión I/V, entre las fechas 13 y 14/08/2.003, entre Jerez de la Frontera y Madrid, así como gastos de mensajería, por un importe de 381,15 Euros, tal y como se plasma en el Albarán 1569/03/01, de fecha 20-08-03, emitido por Pasadena Viajes, a nombre de Clientes Central. (Folio 69939, Tomo 78, R-13 Bis).

Anotación de fecha 08/08/2003:

Se corresponde con la emisión de un billete de avión (Ida), el pasado 12/08/2.003, entre Madrid y Jerez de la Frontera, por un importe de 187,45 Euros, tal y como se plasma en el Albarán 1605/03/01, de fecha 08-08-03, emitido por Pasadena Viajes, a nombre de Clientes Central. (Folio 69940, Tomo 78, R-13 Bis).

Anotación de fecha 01/08/2003:

Se corresponde con la emisión de tres billete de avión I/V, entre las fechas 04 y 06/07/2.003, entre Madrid y Jerez de la Frontera, así como alquiler de vehículo en Aeropuerto, por un importe de 1.046,75 Euros, tal y como se plasma en el Albarán 1379/03/01, de fecha 01-08-03, emitido por Pasadena Viajes, a nombre de Clientes Central. (Folio 69941, Tomo 78, R-13 Bis).

Anotación de fecha 30/07/2003:

Se corresponde con la emisión de un billete de avión I/V, entre las fechas 04 y 07/08/2.003, entre Jerez de la Frontera y Madrid, por un importe de 362,90 Euros, tal y como se plasma en el Albarán 1551/03/01, de fecha 30-07-03, emitido por Pasadena Viajes, a nombre de Clientes Central. (Folio 69942, Tomo 78, R-13 Bis).

Anotación de fecha 28/05/2003:

Se corresponde con el pago de Tasas de Billete de Avión I/V, entre las fechas 30/05/2003 y el 01/06/2003, entre Madrid y Santa Cruz de la Palma, por importe de 10,52 Euros, tal y como se plasma en el Albarán 1161/03/01, de fecha 28-05-03, emitido por Pasadena Viajes, a nombre de Clientes Central. (Folio 69943, Tomo 78, R-13 Bis).

Anotación de fecha 15/04/2003:

Se corresponde con la emisión de un Billete de Tren I/V, (AVE-Plaza Club), entre Madrid y Sevilla, por importe de 136,80 Euros, tal y como se plasma en el Albarán 0836/03/01, de fecha 15-04-03, emitido por Pasadena Viajes, a nombre de Clientes Central. (Folio 69944, Tomo 78, R-13 Bis).

Anotación de fecha 15/01/2003:

Se corresponde con la emisión de un billete de avión (Ida), el pasado 08/12/2.003, entre Jerez de la Frontera y Madrid, por un importe de 80,21 Euros, tal y como se plasma en el Albarán 0096/03/01, de fecha 15-01-03, emitido por Pasadena Viajes, a nombre de Clientes Central. (Folio 69945, Tomo 78, R-13 Bis).

Anotación de fecha 03/01/2003:

Se corresponde con el pago de estancia en Hotel Tryp Medea, entre las fechas 03 y 04/01/2.003, por un importe de136,96 Euros, tal y como se plasma en el Albarán 0002/03/01, emitido por Pasadena Viajes, a nombre de Clientes Central. (Folio 69.946, Tomo 78, R-13 Bis).

Anotación de fecha 30/12/2002:

Se corresponde con la emisión de dos billetes de avión (Ida), el pasado 01/01/2.003, entre Jerez de la Frontera y Madrid, por un importe de 264,42 Euros, tal y como se plasma en el Albarán 4051/02/01, de fecha 30-12-02, emitido por Pasadena Viajes, a nombre de Clientes Central. (Folio 69970, Tomo 78, R-13 Bis).

Significar que relación detallada de los servicios incluidos en los albaranes anteriormente descritos con números 1161/03, 1605/03, 1637/03, 002/03, 1675/03, 1551/03, 1773/03, 1569/03, 2353/03, 0096/03, 1379/03 y 836/03, se encuentran incluidos en Factura 308/1449/03, de fecha 12/12/03, emitida por Pasadena Viajes, a nombre de Jesús SEPULVEDA (no se incluye datos del NIF ni domicilio del mismo). (Folios 69.971 a 69.973, Tomo 78, R-13 Bis).

3.2 Servicios turísticos prestados en el año 2.002.

Acto seguido se detalla la relación de servicios turísticos particulares prestados por la Organización de Fco. CORREA SANCHEZ, a nombre de Jesús SEPÚLVEDA RECIO y/o distintos miembros de su familia a lo largo del año 2.002, por un importe total, a tenor de las anotaciones que en los documentos analizados se menciona, de 14.392,50 Euros, tal y como se refleja en el documento impreso (Hoja de Excel) que se detalla acto seguido. (Folio 69.947, Tomo 78, R-13 Bis).

Las anotaciones del documento reflejado con anterioridad tienen su continuidad en el extracto de Libro Mayor, Empresa PASADENA VIAJES, SL., Fecha 20-01-03, relativa al periodo 01-01-02/31-12-02, Cliente "430010043 Jesús SEPULVEDA". (Folio 69.948, Tomo 78, R-13 Bis).

- Detalle de Servicios Turísticos Año 2.002:

El detalle de los servicios turísticos correspondientes al año 2.002 figura en la documentación intervenida en el Registro efectuado, cuya relación de equivalencia se recoge a continuación:

FECHA ALBARÁN N° FOLIO (R-13 BIS-TOMO 78) OBSERVACIONES
17/12/2002 3962/02/01 69.967 Cargo Clientes Central
16/12/2002 3894/02/01 69.969 Cargo Clientes Central
16/12/2002 3799/02/01 69.968 Cargo Clientes Central
04/12/2002 3765/02/01 69.966 "
22/11/2002 3668/02/01 69.964 "
14/11/2002 3540/02/01 69.965 "
28/10/2002 2725/02/01 69.961 "
25/10/2002 3260/02/01 69.963 "
22/10/2002 3044/02/01 69.962 "
04/09/2002 1993/02/01 69.963 "
30/07/2002 2407/02/01 69.960 "
27/06/2002 2127/02/01 69.959 "
20/05/2002 1304/02/01 69.955 "
30/04/2002 1399/02/01 69.957 "
30/04/2002 1396/02/01 69.933 "
25/03/2002 0974/02/01 69.953 "
22/03/2002 0823/02/01 69.952 "
11/01/2002 0076/02/01 69.949 "
11/01/2002 1191/02/01 69.954 "
08/01/2002 0029/02/01 69.951 "

Fuente: Elaboración propia a partir de la documentación intervenida

Anotación de fecha 17/12/2002:

Se corresponde con el pago de Alquiler de vehículo, entre las fechas 05 y 08/12/2.002, con recogida en Estación de Santa Justa y entrega en Aeropuerto de Jerez, por un importe de 324,61 Euros, tal y como se plasma en el Albarán 3962/02/01, emitido por Pasadena Viajes, a nombre de Clientes Central. (Folio 69.967, Tomo 78, R-13 Bis).

Anotación de fecha 16/12/2002:

Se corresponde con la emisión de cuatro billetes de avión I/V, entre las fechas 20 y 25/12/2.002, entre Madrid y Santa Cruz, por un importe de 2.388,24 Euros, tal y como se plasma en el Albarán 3894/02/01, de fecha 16-12-02, emitido por Pasadena Viajes, a nombre de Clientes Central. (Folio 69969, Tomo 78, R-13 Bis).

Anotación de fecha 16/12/2002:

Se corresponde con la emisión de un billete de tren, el pasado 05/12/2.002, entre Madrid y Sevilla, por un importe de 110,82 Euros, tal y como se plasma en el Albarán 3799/02/01, de fecha 16-12-02, emitido por Pasadena Viajes, a nombre de Clientes Central. (Folio 69968, Tomo 78, R-13 Bis).

Anotación de fecha 04/12/2002:

Se corresponde con el pago de tasas por recogida de billetes Iberia Plus, así como reembolso de tasas por gastos de anulación de billete, por un importe de 24,32 Euros, tal y como se plasma en el Albarán 3765/02/01, de fecha 04-12-02, emitido por Pasadena Viajes, a nombre de Clientes Central. (Folio 69966, Tomo 78, R-13 Bis).

Anotación de fecha 22/11/2002:

Se corresponde con el pago de Alquiler de vehículos, por un importe de 361,27 Euros, tal y como se plasma en el Albarán 3668/02/01, de fecha 22-11-02, emitido por Pasadena Viajes, a nombre de Clientes Central. (Folio 69964, Tomo 78, R-13 Bis).

Anotación de fecha 14/11/2002:

Se corresponde con el pago de 2 Billetes de avión, el pasado 17/11/2002, entre Jerez de la Frontera y Madrid, por un importe de 486,06 Euros, tal y como se plasma en el Albarán 3540/02/01, de fecha 14-11-02, emitido por Pasadena Viajes, a nombre de Clientes Central. (Folio 69965, Tomo 78, R-13 Bis).

Anotación de fecha 28/10/2002:

Se corresponde con el pago de la Estancia en el Parador de Bayona entre el 13 y el 14/09/2002, Alquiler de vehículo en Santiago de Compostela del 13 al 15/09/2002, 1 Billete de Avión Madrid/Santiago/Vigo/Madrid, entre el 13 y el 15/09/200, así como la diferencia de habitación doble uso, por un importe de 859,27 Euros, tal y como se plasma en el Albarán 2725/02/01, de fecha 29-11-02, emitido por Pasadena Viajes, a nombre de Clientes Central. (Folio 69961, Tomo 78, R-13 Bis).

Anotación de fecha 25/10/2002:

Se corresponde con el pago de 1 Billetes de Tren Ave Madrid/Sevilla el pasado 30/04/2002, así como el cargo de tasas de billetes de avión, por un importe de 90,26 Euros, tal y como se plasma en el Albarán 3260/02/01, de fecha 25-10-02, emitido por Pasadena Viajes, a nombre de Clientes Central. (Folio 69963, Tomo 78, R-13 Bis).

Anotación de fecha 22/10/2002:

Se corresponde con el pago de las tasas de aeropuerto por recogida de billete Iberia Plus, por un importe de 20,13 Euros, tal y como se plasma en el Albarán 3044/02/01, de fecha 22-10-02, emitido por Pasadena Viajes, a nombre de Clientes Central. (Folio 69962, Tomo 78, R-13 Bis).

Anotación de fecha 04/09/2002:

Se corresponde con el pago de 2 Billetes de Avión I/V Madrid/Dublín, así como estancia en Hotel Westbury y Traslados, entre las fechas 19 y 21/06/2002, por un importe de 3.889,71 Euros, tal y como se plasma en el Albarán 1993/02/01, de fecha 04-09-02, emitido por Pasadena Viajes, a nombre de Clientes Central. (Folio 69958, Tomo 78, R-13 Bis).

Anotación de fecha 30/07/2002:

Se corresponde con el pago de Alquiler de vehículo en Jerez, entre los días 19 y 21/07/2002, así como el pago de tasas de aeropuerto de vuelos Madrid/Jerez, por un importe de 180,15 Euros, tal y como se plasma en el Albarán 2407/02/01, de fecha 3007-02, emitido por Pasadena Viajes, a nombre de Clientes Central. (Folio 69960, Tomo 78, R-13 Bis).

Anotación de fecha 27/06/2002:

Se corresponde con el pago de 1 Billetes de Avión I/V Madrid/Barcelona/Madrid, por un importe de 314,42 Euros, tal y como se plasma en el Albarán 2127/02/01, de fecha 27-06-02, emitido por Pasadena Viajes, a nombre de Clientes Central. (Folio 69959, Tomo 78, R-13 Bis).

Anotación de fecha 20/05/2002:

Se corresponde con el pago del Alquiler de un coche en el Aeropuerto de Jerez, entre los días 2 a 5/05/2002, por un importe de 213,53 Euros, tal y como se plasma en el Albarán 1304/02/01, de fecha 20-05-02, emitido por Pasadena Viajes, a nombre de Clientes Central. (Folio 69955, Tomo 78, R-13 Bis).

Anotación de fecha 30/04/2002:

Se corresponde con el pago de 2 Billetes de Avión I/V Madrid/Dublín, así como estancia en Hotel Westbury, entre las fechas 02 y 05/05/2002, por un importe de 3.092,57 Euros, tal y como se plasma en el Albarán 1399/02/01, de fecha 30-04-02, emitido por Pasadena Viajes, a nombre de Clientes Central. (Folio 69957, Tomo 78, R-13 Bis).

Anotación de fecha 30/04/2002:

Se corresponde con el pago de 1 Billetes de Avión I/V Madrid/jerez de la Frontera, entre los días 02 y 05/05/2002, por un importe de 170,42 Euros, tal y como se plasma en el Albarán 1396/02/01, de fecha 30-04-02, emitido por Pasadena Viajes, a nombre de Clientes Central. (Folio 69956, Tomo 78, R-13 Bis).

Anotación de fecha 25/03/2002:

Se corresponde con el pago del alquiler de un vehículo en Jerez de la Frontera, entre los días 15 y 18/03/2002, por un importe de 179,32 Euros, tal y como se plasma en el Albarán 974/02/01, de fecha 25-03-02, emitido por Pasadena Viajes, a nombre de Clientes Central. (Folio 69953, Tomo 78, R-13 Bis).

Anotación de fecha 22/03/2002:

Se corresponde con el pago 1 billete de avión I/V Madrid/Santiago/Madrid, entre los días 15 y 16/03/2002, y 1 billete I/V Madrid/Jerez/Madrid entre los días 16 y 19/03/2002; 1 billete I/V Madrid/Jerez/Madrid entre los días 15 y 19/03/2002; Pago de diferencia de tasas por estancia en Parador Reyes Católicos, y Alquiler de vehículo en Jerez, entre el 15 y el 19/03/2002, por un importe de 505,25 Euros, tal y como se plasma en el Albarán 823/02/01, de fecha 22-03-02, emitido por Pasadena Viajes, a nombre de Clientes Central. (Folio 69952, Tomo 78, R-13 Bis).

Anotaciones de fecha 11/01/2002:

Se corresponde con el pago de la estancia en el Parador de Mérida (2 habitaciones dobles), el pasado día 11/01/2002, por un importe de 235,24 Euros, tal y como se plasma en los albaranes 76 y 1191/02/01, de fecha 11 y 15-01-02, emitidos por Pasadena Viajes, a nombre de Clientes Central. (Folios 69.949 y 69.954, Tomo 78, R-13 Bis).

Anotaciones de fecha 08/01/2002:

Se corresponde con el pago de un billete de avión I/V Dublín/Madrid/Dublín, entre los días 07 y 11/02/2002, por un importe de 241,49 Euros, tal y como se plasma en el Albarán 029/02/01, de fecha 08-01-02, emitido por Pasadena Viajes, a nombre de Clientes Central. (Folio 69951, Tomo 78, R-13 Bis).

3.3 Servicios turísticos prestados en el año 2.001.

Acto seguido se detalla la relación de servicios turísticos particulares prestados por la Organización de Fco. CORREA SÁNCHEZ, a nombre de Jesús SEPÚLVEDA RECIO y/o distintos miembros de su familia a lo largo del año 2.001, por un importe total, a tenor de las anotaciones que en los documentos analizados se reflejan, de 1.967.025 Pts, tal y como se refleja en el documento impreso (Hoja de Excel) que se detalla acto seguido. (Folio 69.974, Tomo 78, R-13 Bis).

A tenor de lo reflejado en dicho documento los distintos servicios turísticos prestados a nombre del llamado Jesús SEPULVEDA RECIO y/o distintos miembros de su familia, a lo largo de los año 2.001, asciende a un importe de 1.967.025 Pts. (11.822,06 Euros).

Dicho documento presenta anotación manuscrita en su parte inferior "Cobro ficticio. Caja Blasco 2001".

Las anotaciones del documento reflejado con anterioridad tienen su continuidad en el extracto de Libro Mayor, Empresa PASADENA VIAJES, SL., Fecha 18-12-01, relativa al periodo 01/01/01-17/12/01, Cliente "430010043 Jesús SEPULVEDA". (Folio 69.975, Tomo 78, R-13 Bis).

- Detalle de Servicios Turísticos Año 2.001:

El detalle de los servicios turísticos correspondientes al año 2.001 figura en la documentación intervenida en el Registro efectuado, cuya relación de equivalencia se recoge a continuación:

FECHA ALBARÁN N° FOLIO (R-13 BIS-TOMO 78) OBSERVACIONES
11/12/2001 4551/01/01 70.003 Cargado Clientes Central
11/12/2001 4544/01/01 70.002 Cargado Clientes Central
03/12/2001 4347/01/01 70.004 Cargado Clientes Central
01/12/2001 3529/01/01 70.001 "
15/11/2001 4133/01/01 70.000 "
09/11/2001 3975/01/01 69.998 "
06/11/2001 3944/01/01 69.997 "
29/10/2001 3577/01/01 69.996 "
25/10/2001 3832/01/01 69.995 "
24/10/2001 3416/01/01 69.994 "
09/10/2001 3510/01/01 69.993 "
26/09/2001 3213/01/01 69.992 "
07/09/2001 2915/01/01 69.991 "
04/09/2001 2913/01/01 69.990 "
10/08/2001 2838/01/01 69.989 "
23/07/2001 2689/01/01 69.988 "
22/06/2001 2255/01/01 69.987 "
18/06/2001 2175/01/01 69.986 "
05/06/2001 1856/01/01 69.985 "
31/05/2001 1973/01/01 69.984 "
29/05/2001 1919/01/01 69.983 "
14/05/2001 1712/01/01 69.982 "
11/05/2001 1344/01/01 69.981 "
10/04/2001 1221/01/01 69.980 "
02/04/2001 0971/01/01 69.979 "
07/03/2001 0552/01/01 69.978 "
16/02/2001 0535/01/01 69.977 "
09/02/2001 0480/01/01 69.976 "

Fuente: Elaboración propia a partir de la documentación intervenida

Anotaciones de fecha 11/12/2001:

Se corresponde con el pago de alquiler de vehículo en Jerez de la Frontera, entre los días 31/10 y 03/11/2001, por un importe de 14.811 Pts., tal y como se plasma en el Albarán 4551/01/01, de fecha 11-12-01, emitido por Pasadena Viajes, a nombre de Clientes Central. (Folio 70003, Tomo 78, R-13 Bis).

Anotaciones de fecha 11/12/2001:

Se corresponde con el pago de alquiler de vehículo en Jerez de la Frontera, entre los días 16 y 18/11/2001, por un importe de 23.765 Pts., tal y como se plasma en el Albarán 4544/01/01, de fecha 11-12-01, emitido por Pasadena Viajes, a nombre de Clientes Central. (Folio 70002, Tomo 78, R-13 Bis).

Anotaciones de fecha 03/12/2001:

Se corresponde con el pago de 2 Billetes de avión I/V para el trayecto Madrid/Dublín/Madrid, entre las fechas 06 y 14/01/2001; 1 billete de avión I/V para el trayecto Dublín/Madrid/Dublín, entre el 21/12/01 y el 06/01/2001; y 1 Billete de Avión I/V, para el trayecto Madrid/Quito/Madrid, entre el 16/12/01 y el 05/01/2002, por un importe de 403.763 Pts., tal y como se plasma en el Albarán 4347/01/01, de fecha 0312-01, emitido por Pasadena Viajes, a nombre de Clientes Central. (Folio 70004, Tomo 78, R-13 Bis).

Anotaciones de fecha 01/12/2001:

Se corresponde con el pago de 1 Billete de avión I/V para el trayecto Madrid/Dublín/Madrid, entre las fechas 13 y 14/01/2001; Estancia de una noche en el Hotel Fitz William (Dublín), entre el 13 y el 14/10/2001, por un importe de 66.921 Pts., tal y como se plasma en el Albarán 3529/01/01, de fecha 01-12-01, emitido por Pasadena Viajes, a nombre de Clientes Central. (Folio 70001, Tomo 78, R-13 Bis).

Anotaciones de fecha 15/11/2001:

Se corresponde con el pago de 1 Billetes de avión I/V para el trayecto Madrid/Jerez/Madrid, entre las fechas 16 y 18/11/2001, por un importe de 27.690 Pts., tal y como se plasma en el Albarán 4133/01/01, de fecha 15-11-01, emitido por Pasadena Viajes, a nombre de Clientes Central. (Folio 70000, Tomo 78, R-13 Bis).

Anotaciones de fecha 09/11/2001:

Se corresponde con el pago de 2 Billetes de avión I/V para el trayecto Madrid/Dublín/Madrid, entre las fechas 09 y 11/11/2001, así como estancia en Hotel Conrad (Hab. Triple), por un importe de 170.753 Pts., tal y como se plasma en el Albarán 3975/01/01, de fecha 09-11-01, emitido por Pasadena Viajes, a nombre de Clientes Central. (Folio 69998, Tomo 78, R-13 Bis).

Anotaciones de fecha 06/11/2001:

Se corresponde con el pago de 1 Billete de avión I/V para el trayecto Madrid/Jerez/Madrid, entre las fechas 31/10 y 03/11/2001, por un importe de 27.369 Pts., tal y como se plasma en el Albarán 3944/01/01, de fecha 06-11-01, emitido por Pasadena Viajes, a nombre de Clientes Central. (Folio 69997, Tomo 78, R-13 Bis).

Anotaciones de fecha 29/10/2001:

Se corresponde con el pago de 2 Billetes de avión I/V, en clase preferente para el trayecto Madrid/Jerez/Madrid, y alquiler de vehículo en Jerez, por un importe de 108.718 Pts., tal y como se plasma en el Albarán 3577/01/01, de fecha 29-10-01, emitido por Pasadena Viajes, a nombre de Clientes Central. (Folio 69996, Tomo 78, R-13 Bis).

Anotaciones de fecha 25/10/2001:

Se corresponde con el pago de 1 Billete de avión I/V, para el trayecto Madrid/La Palma/Madrid, entre el 25 y el 27/10/01, por un importe de 49.510 Pts., tal y como se plasma en el Albarán 3832/01/01, de fecha 25-10-01, emitido por Pasadena Viajes, a nombre de Clientes Central. (Folio 69995, Tomo 78, R-13 Bis).

Anotaciones de fecha 24/10/2001:

Se corresponde con el pago de 3 Billetes de avión I/V, para el trayecto Madrid/Jerez/Madrid, entre el 05 y el 07/10/01. Se procede al reembolso de cantidades parciales con respecto a los billetes descritos, por un importe de 14.250 Pts., tal y como se plasma en el Albarán 3416/01/01, de fecha 24-10-01, emitido por Pasadena Viajes, a nombre de Clientes Central. (Folio 69994, Tomo 78, R-13 Bis).

Anotaciones de fecha 09/10/2001:

Se corresponde con el pago del alquiler de un vehículo en Jerez, por un importe de 16.741 Pts., tal y como se plasma en el Albarán 3510/01/01, de fecha 09-10-01, emitido por Pasadena Viajes, a nombre de Clientes Central. (Folio 69993, Tomo 78, R-13 Bis).

Anotaciones de fecha 26/09/2001:

Se corresponde con el pago de 1 Billete de Avión I/V, para el trayecto Madrid/Jerez/Madrid, entre las fechas 21 a 23/09/2001; 1 Billete de avión Madrid/Jerez, el pasado 21/09/2001 y 1 Billete I/V Madrid/Jerez/Madrid, entre las fechas 21 y 23/09/2001, por un importe total conjunto de 78.275 Pts., tal y como se plasma en el Albarán 3213/01/01, de fecha 26-09-01, emitido por Pasadena Viajes, a nombre de Clientes Central. (Folio 69992, Tomo 78, R-13 Bis).

Anotaciones de fecha 07/09/2001:

Se corresponde con el pago de 1 Billete de avión, para el trayecto Madrid/Dublín, el pasado 08/09/2001; 1 Billete de avión I/V, para el trayecto Madrid/Dublín/Madrid, entre las fechas 08 y 10/09/2001; así como estancia en Hotel Fitz William (Dublín), entre el 08 y el 10/09/2001, por un importe total conjunto de 178.790 Pts., tal y como se plasma en el Albarán 2915/01/01, de fecha 07-09-01, emitido por Pasadena Viajes, a nombre de Clientes Central. (Folio 69991, Tomo 78, R-13 Bis).

Anotaciones de fecha 04/09/2001:

Se corresponde con el pago de 1 Billete de avión, para el trayecto Madrid/Jerez, el pasado 27/08/2001; 3 Billetes de avión, para el trayecto Jerez/Madrid, entre las fechas 31/08 y 02/09/2001, por un importe total conjunto de 77.480 Pts., tal y como se plasma en el Albarán 2913/01/01, de fecha 04-09-01, emitido por Pasadena Viajes, a nombre de Clientes Central. (Folio 69990, Tomo 78, R-13 Bis).

Anotaciones de fecha 10/08/2001:

Se corresponde con el reembolso de billete de avión no utilizado, por un importe total conjunto de -13.170 Pts., tal y como se plasma en el Albarán 2838/01/01, de fecha 10-08-01, emitido por Pasadena Viajes, a nombre de Clientes Central. (Folio 69989, Tomo 78, R-13 Bis).

Anotaciones de fecha 23/07/2001:

Se corresponde con el pago del alquiler de un vehículo, en Jerez de la Frontera, por un importe total conjunto de 13.006 Pts., tal y como se plasma en el Albarán 2689/01/01, de fecha 23-07-01, emitido por Pasadena Viajes, a nombre de Clientes Central. (Folio 69988, Tomo 78, R-13 Bis).

Anotaciones de fecha 22/06/2001:

Se corresponde con el pago de 1 Billete de avión, entre Madrid/Barcelona, por un importe total de 48.490 Pts., tal y como se plasma en el Albarán 2255/01/01, de fecha 22-06-01, emitido por Pasadena Viajes, a nombre de Clientes Central. (Folio 69987, Tomo 78, R-13 Bis).

Anotaciones de fecha 18/06/2001:

Se corresponde con el pago del alquiler de un vehículo en Jerez, por un importe total de 25.911 Pts., tal y como se plasma en el Albarán 2175/01/01, de fecha 18-0601, emitido por Pasadena Viajes, a nombre de Clientes Central. (Folio 69986, Tomo 78, R-13 Bis).

Anotaciones de fecha 05/06/2001:

Se corresponde con el pago de la estancia en el Hotel Melia Don Pepe (Marbella), entre el 25 y el 27/05/01, por un importe total de 72.350 Pts., tal y como se plasma en el Albarán 1856/01/01, de fecha 05-06-01, emitido por Pasadena Viajes, a nombre de Clientes Central. (Folio 69985, Tomo 78, R-13 Bis).

Anotaciones de fecha 31/05/2001:

Se corresponde con el pago del alquiler de un vehículo en Málaga, por un importe total de 24.797 Pts., tal y como se plasma en el Albarán 1973/01/01, de fecha 31-05-01, emitido por Pasadena Viajes, a nombre de Clientes Central. (Folio 69984, Tomo 78, R-13 Bis).

Anotaciones de fecha 29/05/2001:

Se corresponde con el pago de 1 Billete de avión I/V para el trayecto Madrid/Jerez/Madrid, entre las fechas 01 y 03/06/2001, por un importe total de 26.340 Pts., tal y como se plasma en el Albarán 1919/01/01, de fecha 29-05-01, emitido por Pasadena Viajes, a nombre de Clientes Central. (Folio 69983, Tomo 78, R-13 Bis).

Anotaciones de fecha 14/05/2001:

Se corresponde con el pago de la estancia en el Hotel Melia Sidi Saler, entre el 11 y el 13/05/01, por un importe total de 72.332 Pts., tal y como se plasma en el Albarán 1712/01/01, de fecha 14-05-01, emitido por Pasadena Viajes, a nombre de Clientes Central. (Folio 69982, Tomo 78, R-13 Bis).

Anotaciones de fecha 11/05/2001:

Se corresponde con el pago de 3 Billetes de Hotel I/V para el trayecto Madrid/Jerez de la Frontera/Madrid, entre las fechas 27/04 y el 01/05/2001 y Alquiler de un vehículo, por un importe total de 138.432 Pts., tal y como se plasma en el Albarán 1344/01/01, de fecha 11-05-01, emitido por Pasadena Viajes, a nombre de Clientes Central. (Folio 69981, Tomo 78, R-13 Bis).

Anotaciones de fecha 10/04/2001:

Se corresponde con el pago de 2 Billetes de avión I/V, para el trayecto Madrid/Jerez/Madrid, entre el 06 y el 14/04/01, por un importe total de 52.680 Pts., tal y como se plasma en el Albarán 1221/01/01, de fecha 10-04-01, emitido por Pasadena Viajes, a nombre de Clientes Central. (Folio 69980, Tomo 78, R-13 Bis).

Anotaciones de fecha 02/04/2001:

Se corresponde con el pago de la estancia en el Hotel El Fuerte de Marbella, entre el 23 y el 25/03/01; 3 Billetes de Avión I/V, para el trayecto Madrid/Málaga/Madrid, entre las fechas 23 y 25/03/2011, junto con Alquiler de vehiculo en Málaga, por un importe total de 166.671 Pts., tal y como se plasma en el Albarán 971/01/01, de fecha 02-04-01, emitido por Pasadena Viajes, a nombre de Clientes Central. (Folio 69979, Tomo 78, R-13 Bis).

Anotaciones de fecha 07/03/2001:

Se corresponde con el pago de un alquiler de vehículo en Sevilla, por un importe total de 19.335 Pts., tal y como se plasma en el Albarán 552/01/01, de fecha 07-03-01, emitido por Pasadena Viajes, a nombre de Clientes Central. (Folio 69978, Tomo 78, R-13 Bis).

Anotaciones de fecha 16/02/2001:

Se corresponde con el pago de 1 Billete de avión, para el trayecto Jerez/Madrid, el pasado día 18/02/2001, así como 2 Pasajes de tren Ave, para el trayecto Madrid- Sevilla, el pasado día 18/02/2001, por un importe total de 34.675 Pts., tal y como se plasma en el Albarán 535/01/01, de fecha 16-02-01, emitido por Pasadena Viajes, a nombre de Clientes Central. (Folio 69977, Tomo 78, R-13 Bis).

Anotaciones de fecha 09/02/2001:

Se corresponde con el pago de 1 Billete de avión I/V, para el trayecto Madrid/Jerez/Madrid, entre el 09 y el 11/02/01, por un importe total de 26.340 Pts., tal y como se plasma en el Albarán 480/01/01, de fecha 09-02-01, emitido por Pasadena Viajes, a nombre de Clientes Central. (Folio 69976, Tomo 78, R-13 Bis).

3.4 Servicios turísticos prestados en el año 2.000.

Si bien dentro de la documentación que ha sido hallada en la Carpeta cuyo contenido esta siendo motivo de análisis en el presente Informe, no consta ningún dato relativo a la prestación de servicios turísticos para el llamado Jesús SEPULVEDA RECIO en el año 2000, señalar que existen otros documentos, hallados en los distintos registros efectuados en el marco del presente procedimiento, en los que se refleja que durante ese periodo de tiempo también se hizo uso de los servicios de la Agencia PASADENA VIAJES SL. por parte del mismo.

Tal y como consta en el Libro Mayor de la mercantil PASADENA VIAJES SL, en el periodo alusivo al año 2.000, figura como cliente el llamado Jesús SEPULVEDA RECIO (código 430010043), al que le corresponde una prestación de servicios por importe declarado de 1.702.889 Pts (10.234,57 Euros), no constando en el campo "HABER" cantidad alguna reflejada, es decir, esta pendiente de abono la deuda generada a lo largo de dicho año. (Folio 6.228, Tomo 13, R-5).

3.5 Abono de los servicios turísticos prestados con fondos de la Caja B de la organización de Fco. CORREA SANCHEZ.

Tay y como ha quedado plasmado en nuestro anterior Informe 4.841T11 UDEF-BLA, de fecha 19-01-2.011, la organización de Fco. CORREA SANCHEZ, utilizaba Fondos de la denominada "Caja B" para hacer frente a los distintos servicios turísticos de carácter particular prestados a nombre del llamado Jesús SEPULVEDA RECIO y/o distintos miembros de su familia.

-Abono de Servicios Turísticos año 2.004:

Los distintos servicios turísticos prestados al llamado Jesús SEPULVEDA RECIO, a lo largo del año 2.004 (enero a septiembre + albarán 2647/03), por un importe de 8.971,73 Euros, fueron abonados mediante un ingreso en metálico en la entidad bancaria BBVA, utilizando para ello dinero de la ya mencionada "Caja B", véase por un lado lo establecido en el archivo de Excel denominado "Caja Pagos B.xls", Hoja 2, donde se puede observar la existencia del siguiente apunte:

De lo reflejado en dicho apunte se infiere que de la Caja B, de la organización de Francisco CORREA SÁNCHEZ, se destina la cantidad de 8.972 Euros, para efectuar un ingreso en la Cuenta del BBVA, que cancela determinadas Facturas de PASADENA VIAJES a nombre de Jesús SEPÚLVEDA, en fecha 20-10-2004, por el importe anteriormente indicado.

Dentro de la Carpeta con documentación que esta siendo objeto de análisis en el presente Informe, bajo el nombre de "EXTRACTO CTA. J. SEPÚLVEDA", se ha encontrado fotocopia de resguardo de justificante de ingreso de dinero en efectivo en la entidad bancaria BBVA, realizado por la organización de Fco. CORREA SÁNCHEZ por importe de 8.971,73 Euros, el pasado 20/10/04 (la misma fecha que figura en el archivo de Excel "Caja Pagos B.xls"), con el objetivo de cancelar la deuda existente por la prestación de una serie de servicios turísticos para el llamado Jesús SEPÚLVEDA RECIO y/o distintos miembros de su familia a lo largo del año 2.004, siendo éste el siguiente (Folio 69.907, Tomo 78, R-13 Bis):

Una vez comprobado el listado de movimientos bancarios de la Cuenta de la entidad bancaria BBVA 0182 5516 03 0201501512 (actual 0182 5502 020 00850151), cuyo titular es la Sociedad Pasadena Viajes, se puede observar como el pasado 20/10/2004, consta un ingreso en metálico por importe de 8.971,73 Euros, en la Oficina 0915 de dicha entidad, sita en la C/Goya 15, de Madrid.

Igualmente se ha encontrado fotocopia de resguardo de justificante de ingreso de dinero en efectivo en la entidad bancaria BBVA, por importe de 908,77 Euros, realizado el 21/01/05, con el objetivo de cancelar la deuda existente por la prestación de una serie de servicios turísticos para Jesús SEPÚLVEDA RECIO y/o distintos miembros de su familia, junto con la que sería una de sus empleadas de hogar (Rosa JARAMILLO) a finales del año 2.004, tal y como se expuso en nuestro anterior Informe, siendo este el siguiente (Folio 69.907, Tomo 78, R-13 Bis):

Una vez comprobado el listado de movimientos bancarios de la Cuenta de la entidad bancaria BBVA 0182 5516 03 0201501512 (actual 0182 5502 020 00850151), cuyo titular es la Sociedad Pasadena Viajes, se puede observar como el pasado 21/01/2005, consta un ingreso en metálico por importe de 908,77 Euros, en la Oficina 0915 de dicha entidad, sita en la C/Goya 15, de Madrid.

Tal y como se puede comprobar en el Libro Mayor de la Sociedad Pasadena Viajes, hallado en el interior del registro efectuado en la sede central de la organización de Fco. CORREA sita en la C/Serrano num. 40, 4° Izq. de Madrid, la cuenta relativa al cliente Jesús SEPULVEDA (código 430010043) presenta una deuda acumulada de los años 2.003 y/o anteriores de 3.039,78 Euros, a la que se suman los gastos generados en el año 2.004 (6.840,72 Euros/DEBE), amortizándose la misma parcialmente con unos ingresos de 8.971,73 Euros (HABER), lo que genera una deuda a finalizar el ejercicio de 908,77 Euros. (Folio 6.655, Tomo 13, R-5).

En el Libro Mayor de Pasadena Viajes SL., correspondiente al periodo relativo al año 2.005, se observa como la deuda pendiente del año 2.004 (908,77 Euros), es saldada en el 2.005, tal y como consta en el ingreso bancario anteriormente descrito, de fecha 21 de Enero de 2.005. (Folio 6558, Tomo 13, R-5).

-Abono de Servicios Turísticos año 2.002 y 2003:

Los distintos servicios turísticos prestados al llamado Jesús SEPULVEDA RECIO y/o distintos miembros de su familia, a lo largo de los años 2.002 y 2.003 (enero-noviembre), y que figuran reflejados en el documento denominado "EXTRACTO SERVICIOS SRES.SEPULVEDA/MATO" (Folio 69.933, Tomo 78, R-13 Bis), tienen un coste total conjunto de 18.111,90 Euros.

Señalar que dicho documento presenta anotación manuscrita en su parte inferior "COBRO FICTICIO 12/12/03", cuya fecha coincide exactamente con el momento temporal en que por parte de la organización de Fco. CORREA SANCHEZ, se procede a cancelar la deuda producida con la Agencia Pasadena Viajes por tales servicios, utilizando para ello Fondos de la Caja B de la organización.

Véase por un lado lo establecido en el archivo de Excel denominado "Caja Pagos B.xls", Hoja 2 (R-16, Doc. 5), donde se puede observar la existencia del siguiente apunte:

Una vez comprobado el listado de movimientos bancarios de la Cuenta de la entidad bancaria BBVA 0182 5516 03 0201501512 (actual 0182 5502 020 00850151), cuyo titular es la Sociedad Pasadena Viajes, se puede observar como el pasado 12/12/2003 (el mismo día que el reflejado en la anotación del apunte del archivo de excel analizado y que consta en la anotación manuscrita anteriormente indicada), constan dos ingresos en metálico por importe de 10.000 Euros c/u (20.000 Euros en total), en la Oficina 0915 de dicha entidad, sita en la C/Goya 15, de Madrid.

Tal y como se puede comprobar en el Libro Mayor de la Sociedad Pasadena Viajes, hallado en el interior del registro efectuado en la sede central de la organización de Fco. CORREA sita en la C/Serrano num. 40, 4° Izq. de Madrid, la cuenta relativa al cliente Jesús SEPULVEDA (código 430010043) presenta una deuda acumulada de los años 2.002 y/o anteriores de 14.392,50 Euros, a la que se suman los gastos generados en el año 2.003 (6.759,18 Euros/DEBE), amortizándose la misma parcialmente con unos ingresos de 18.111,90 Euros (HABER), lo que genera una deuda a finalizar el ejercicio de 3.039,79 Euros. (Folio 6.381, Tomo 13, R-5).

De los datos analizados se infiere que los 20.000 Euros ingresados en la cuenta bancaria de Pasadena Viajes, con dinero procedente de la Caja B, de la organización de Fco. CORREA SANCHEZ, saldan por un lado la deuda generada a nombre de Jesús SEPÚLVEDA (18.111,90 €), y por otro, hasta completar los 20.000 euros, serian destinados para el pago de algún servicio y/o viaje prestado para la llamada Rita del Rocío SIMBAÑA TASINTUÑA, natural de Ecuador y empleada de hogar del Sr. CORREA.

Significar que en este caso, por parte de la organización de Fco. CORREA, se recurre al ingreso de dinero procedente de la caja B, en la cuenta del BBVA, para saldar las deudas generadas con la Agencia Pasadena Viajes, en relación a los servicios prestados a la familia de Jesús SEPÚLVEDA y la Sra. Rocío SIMBAÑA (empleada de hogar al servicio del Sr. CORREA), de una forma fraccionada, mediante dos abonos consecutivos, efectuados el mismo día, en una medida de "opacidad" ante terceros, para dificultar el control de los distintos movimientos de dinero "B" de la propia organización a través de los movimientos en la cuenta bancaria de la Agencia Pasadena, destinados al pago de unos servicios prestados para un cargo público determinado, en este caso el llamado Jesús SEPÚLVEDA RECIO.

El resumen del coste de los servicios turísticos particulares prestados por PASADENA VIAJES, que han sido financiados mediante ingresos de fondos de la Caja B a la cuenta de Pasadena Viajes en la entidad BBVA es el siguiente:

Coste Srvcs. Turísticos
Año 2.000 10.234,57
Año 2.001 11.822,06
Año 2.002 14.392,50
Año 2.003 6.759,16
Año 2.004 6.840,72
TOTAL 50.049,01

3.6 Pago de gastos generados por la Oficina Electoral de Jesús SEPÚLVEDA RECIO y entregas de dinero en metálico por parte de la organización de Francisco CORREA SÁNCHEZ.

Dentro de la Carpeta cuyo contenido esta siendo objeto de análisis en el presente Informe, son varios los documentos y anotaciones, los cuales reflejan el pago, por parte de la organización de Francisco CORREA SÁNCHEZ, de distintos gastos relacionados con el montaje y posterior mantenimiento de la Oficina Electoral del llamado Jesús SEPÚLVEDA RECIO con motivo de las elecciones municipales de 2.003, así como distintas entregas de dinero en metálico, encontrándose entre los mismos los siguientes:

- Carpeta conteniendo en su interior justificantes de diversas facturas y gastos relacionados con gastos generados por el Despacho Electoral de Jesús SEPÚLVEDA RECIO, relacionados con la Campaña de Elecciones Municipales llevadas a cabo el 25 de Mayo de 2.003, mas Extracto de la Cuenta de Servicios de Pozuelo, mas Hojas de Costes de actos realizados en Pozuelo de Alarcón (Madrid). (Folio 70.006, Tomo 78, R-13 Bis).

Primero.- Definición de los costes por servicios prestados y entregas de dinero para la cuenta de Servicios de Pozuelo:

Documento elaborado con el formato de Excel, bajo el título "GASTOS DESPACHO ELECTORAL SEPÚLVEDA", en donde figuran anotadas una serie de Facturas, entre las fechas 21/01/2003 y el 21/08/2003, por un importe total conjunto de 15.600,16 Euros. (Folio 70.007, Tomo 78, R-13 Bis).

Documento en soporte papel elaborado con el formato de Excel, bajo el título "EXTRACTO CUENTA DE SERVICIOS Pozuelo", en donde figuran anotadas una serie de entregas de dinero en efectivo, pago de facturas, y coste de actos, entre el 26-1102 y el 10-02-03, por un importe total conjunto de 74.354,84 Euros. (Folio 70.006, Tomo 78, R-13 Bis).

Significar que varias de estas entregas de dinero en efectivo que vienen anotadas coinciden con salidas de dinero de la Caja B, de la organización de Fco. CORREA SÁNCHEZ, como se puede observar en los siguientes casos:

Contenido del archivo "Caja X PC.xls", del dispositivo de memoria Pen-Drive (R-16, Doc.5), intervenido durante el registro efectuado en el domicilio particular del llamado José Luis IZQUIERDO LÓPEZ, cuyas anotaciones coinciden con los apuntes del documento descrito con anterioridad :

Fecha Concepto Notas Importe
26/11/2002 Sobre JS (Ent.a Alvaro Pérez) Orden PC - 6.000,00 €
26/11/2002 Ent.a Álvaro Pérez (2MM Pts) Orden PC -12.000,00 €
28/11/2002 Sobre JS (Ent.a Pablo Crespo) Orden PC - 6.000,00 €
16/01/2003 Ent.P. Crespo Instrucciones PC - 30.000,00 €

Archivo "Caje X PC.xls", Hojas 2 y 3. (R-16, Doc.5). Anexo I

Hoja de Costes relativa a Acto del Candidato a la Alcaldía de Pozuelo de Alarcón (Jesús SEPÚLVEDA), de fecha 10/02/03, en Pozuelo (El doblao Taberna), con un coste asociado al mismo de 1.298,58 Euros. (Folio 70.038, Tomo 78, R-13 Bis).

Significar que dicha Hoja de Costes no presenta anotación alguna en la columna "FACTURADO".

Como se puede observar en dicha Hoja de Costes no se presenta anotación alguna relativa a la Facturación efectuada por la organización de Fco. CORREA SANCHEZ, relativa a dicho Acto, presentando un saldo negativo en cuanto al beneficio de - 1.298,58 Euros.

Hoja de Costes relativa a Acto "PP MADRID CAMPAÑA MENOS IMPUESTOS, MAS SEGURIDAD", de fecha 29/01/03, en Pozuelo de Alarcón, Jesús Sepúlveda, con un coste asociado al mismo de 2.496,35 Euros. (Folio 70.039, Tomo 78, R-13 Bis).

Significar que dicha Hoja de Costes no presenta anotación alguna en las columnas "FACTURADO y BENEFICIO".

Como se puede observar en dicha Hoja de Costes no se presenta anotación alguna relativa a la Facturación efectuada por la organización de Fco. CORREA SANCHEZ, relativa a dicho Acto.

Segundo.- Desglose de facturas correspondientes a los Gastos del Despacho electoral de Jesús SEPULVEDA.

Apunte de fecha 21/08/2003:

Se corresponde con Factura número F03/649, de fecha 21/08/2003, emitida por ROCHEL SL., a nombre de Special Events SL, bajo el concepto "Por Alquiler de Mobiliario Diverso...", por un importe de 380,36 Euros. (Folio 70.009, Tomo 78, R-13 Bis).

Dicho documento presenta anotación manuscrita en parte inferior "JS., 400000093".

Significar que la numeración 400000093, hace referencia al Código asignado en el Libro Mayor de Pasadena Viajes, SL, al Cliente "ROCHEL, SL.".

Apunte de fecha 21/08/2003:

Se corresponde con Factura número 68.089, de fecha 21/08/2003, emitida por Copiadoras Innovadas, SA., a nombre de Special Events SL, bajo el concepto "Por Arrendamiento material de oficina....... , instalado Oficina PP de Pozuelo de Alarcón", por un importe de 883,51 Euros. (Folio 70.010, Tomo 78, R-13 Bis).

Dicho documento presenta anotación manuscrita en parte inferior "J.S. 400000131".

Significar que la numeración 400000131, hace referencia al Código asignado en el Libro Mayor de Pasadena Viajes, SL, al Cliente "COPIADORAS INNOVADAS, SA".

Apunte de fecha 31/07/2003:

Se corresponde con Factura número 67.789, de fecha 31/07/2003, emitida por Copiadoras Innovadas, SA., a nombre de Special Events SL, bajo el concepto "Por Arrendamiento material de oficina....... , instalado Oficina PP de Pozuelo de Alarcón", por un importe de 883,51 Euros. (Folio 70.011, Tomo 78, R-13 Bis). Dicho documento presenta anotación manuscrita en parte inferior "J.S. 400000131".

Apunte de fecha 30/07/2003:

Se corresponde con Factura número 67.775, de fecha 30/07/2003, emitida por Copiadoras Innovadas, SA., a nombre de Special Events SL, bajo el concepto "Facturación de Copias de la Maquina....... , instalado Oficina Electoral PP, Plaza Mayor, 2 Esc.", por un importe de 12,81 Euros. (Folio 70.012, Tomo 78, R-13 Bis).

Dicho documento presenta anotación manuscrita en parte inferior "J.S. 400000131".

Apunte de fecha 30/07/2003:

Se corresponde con Factura número F03/616, de fecha 30/07/2003, emitida por ROCHEL SL., a nombre de Special Events SL, bajo el concepto "Por Alquiler de Mobiliario Diverso...", por un importe de 380,36 Euros. (Folio 70.013, Tomo 78, R-13 Bis).

Apunte de fecha 27/06/2003:

Se corresponde con Factura número 67.076, de fecha 27/06/2003, emitida por Copiadoras Innovadas, SA., a nombre de Special Events SL, bajo el concepto "Facturación de Copias de la Maquina....... , instalado Oficina Electoral PP, Plaza Mayor, 2 Esc.", por un importe de 24,15 Euros. (Folio 70.014, Tomo 78, R-13 Bis).

Dicho documento presenta anotación manuscrita en parte inferior "J.S. 400000131".

Apunte de fecha 23/06/2003:

Se corresponde con Factura número F03/526, de fecha 23/06/2003, emitida por ROCHEL SL., a nombre de Special Events SL, bajo el concepto "Por Alquiler de Mobiliario Diverso...", por un importe de 380,36 Euros. (Folio 70.015, Tomo 78, R-13 Bis).

Dicho documento presenta anotación manuscrita en parte inferior "J.S. 400000093".

Apunte de fecha 02/06/2003:

Se corresponde con Factura número 66.380, de fecha 02/06/2003, emitida por Copiadoras Innovadas, SA., a nombre de Special Events SL, bajo el concepto "Facturación de Copias de la Maquina....... , instalado Oficina Electoral PP, Plaza Mayor, 2 Esc.", por un importe de 118,38 Euros. (Folio 70.016, Tomo 78, R-13 Bis).

Dicho documento presenta anotación manuscrita en parte inferior "J.S. 400000131".

Apunte de fecha 21/05/2003:

Se corresponde con Factura número F03/437, de fecha 21/05/2003, emitida por ROCHEL SL., a nombre de Special Events SL, bajo el concepto "Por Alquiler de Mobiliario Diverso...", por un importe de 380,36 Euros. (Folio 70.017, Tomo 78, R-13 Bis).

Dicho documento presenta anotación manuscrita en parte inferior "J.S. 400000093".

Apunte de fecha 20/05/2003:

Se corresponde con Factura número 66.032, de fecha 20/05/2003, emitida por Copiadoras Innovadas, SA., a nombre de Special Events SL, bajo el concepto "Paquete Folios DIN A-4......., entregado en Oficina Electoral PP, Plaza Mayor, 2 Pozuelo de Alarcón", por un importe de 58,46 Euros. (Folio 70.018, Tomo 78, R-13 Bis).

Dicho documento presenta anotación manuscrita en parte inferior "J.S. 400000131".

Apunte de fecha 16/05/2003:

Se corresponde con Factura número 65.966, de fecha 16/05/2003, emitida por Copiadora Innovadas, SA., a nombre de Special Events SL, bajo el concepto "Arrendamiento Ordenador Compaq....... , instalado Oficina Electoral PP, Plaza Mayor, 2 Esc.", por un importe de 174 Euros. (Folio 70.019, Tomo 78, R-13 Bis).

Dicho documento presenta anotación manuscrita en parte inferior "JS. 400000131".

Apunte de fecha 09/05/2003:

Se corresponde con Factura número 65.767, de fecha 09/05/2003, emitida por Copiadora Innovadas, SA., a nombre de Special Events SL, bajo el concepto "Toner OKI......., entregado en Oficina Electoral PP, Plaza Mayor, 2, Pozuelo de Alarcón", por un importe de 330,48 Euros. (Folio 70.020, Tomo 78, R-13 Bis).

Dicho documento presenta anotación manuscrita en parte inferior "JS. 400000131".

Apunte de fecha 07/05/2003:

Se corresponde con Factura número 65.698, de fecha 07/05/2003, emitida por Copiadora Innovadas, SA., a nombre de Special Events SL, bajo el concepto "Toner OKI....... , entregado en Oficina Electoral PP, Plaza Mayor, 2, Pozuelo de Alarcón", por un importe de 330,48 Euros. (Folio 70.021, Tomo 78, R-13 Bis).

Dicho documento presenta anotación manuscrita en parte inferior "J.S. 400000131".

Apunte de fecha 06/05/2003:

Se corresponde con Factura número 65.662, de fecha 06/05/2003, emitida por Copiadora Innovadas, SA., a nombre de Special Events SL, bajo el concepto "Toner OKI....... , entregado en Oficina Electoral PP, Plaza Mayor, 2, Pozuelo de Alarcón", por un importe de 1.121,37 Euros. (Folio 70.022, Tomo 78, R-13 Bis).

Dicho documento presenta anotación manuscrita en parte inferior "JS. 400000131".

Apunte de fecha 29/04/2003:

Se corresponde con Factura número 65.494, de fecha 29/04/2003, emitida por Copiadora Innovadas, SA., a nombre de Special Events SL, bajo el concepto "Facturación Copias de la Maquina....... , ubicación Oficina Electoral PP, Plaza Mayor, 2, Esc", por un importe de 49,40 Euros. (Folio 70.023, Tomo 78, R-13 Bis).

Dicho documento presenta anotación manuscrita en parte inferior "J.S. 400000131".

Apunte de fecha 21/04/2003:

Se corresponde con Factura número F03/363, de fecha 21/04/2003, emitida por ROCHEL SL., a nombre de Special Events SL, bajo el concepto "Por Alquiler de Mobiliario Diverso.", por un importe de 380,36 Euros. (Folio 70.024, Tomo 78, R-13 Bis).

Dicho documento presenta anotación manuscrita en parte inferior "J.S. 400000093".

Apunte de fecha 31/03/2003:

Se corresponde con Factura número 64.855, de fecha 31/03/2003, emitida por Copiadora Innovadas, SA., a nombre de Special Events SL, bajo el concepto "Toner OKI....... , Entregados Oficina Electoral PP, Plaza Mayor, 2, Pozuelo de Alarcón", por un importe de 1.121,37 Euros. (Folio 70.025, Tomo 78, R-13 Bis).

Dicho documento presenta anotación manuscrita en parte inferior "DESPACHO ELECTORAL J.S. 400000131".

Apunte de fecha 31/03/2003:

Se corresponde con Factura número 64.831, de fecha 31/03/2003, emitida por Copiadora Innovadas, SA., a nombre de Special Events SL, bajo el concepto "Copias A4...", por un importe de 41,81 Euros. (Folio 70.026, Tomo 78, R-13 Bis).

Dicho documento presenta anotación manuscrita en parte inferior "DESPACHO ELECTORAL J.S. 400000131".

Apunte de fecha 21/03/2003:

Se corresponde con Factura número F03/260, de fecha 21/03/2003, emitida por ROCHEL SL., a nombre de Special Events SL, bajo el concepto "Por Alquiler de Mobiliario Diverso...", por un importe de 380,36 Euros. (Folio 70.027, Tomo 78, R-13 Bis).

Dicho documento presenta anotación manuscrita en parte inferior "J.S. 400000093".

Apunte de fecha 11/03/2003:

Se corresponde con Factura número 64.349, de fecha 11/03/2003, emitida por Copiadora Innovadas, SA., a nombre de Special Events SL, bajo el concepto "Toner Leserjet...", por un importe de 73,64 Euros. (Folio 70.028, Tomo 78, R-13 Bis).

Dicho documento presenta anotación manuscrita en parte inferior "J.S. 400000131".

Apunte de fecha 27/02/2003:

Se corresponde con Factura número 63.896, de fecha 27/02/2003, emitida por Copiadora Innovadas, SA., a nombre de Special Events SL, bajo el concepto "Facturación de Copias de la Maquina...Maquinas instaladas Oficina Electoral PP Plaza Mayor, 2 Pozuelo de Alarcón", por un importe de 661,36 Euros. (Folio 70.029, Tomo 78, R-13 Bis).

Dicho documento presenta anotación manuscrita en parte inferior "J.S. 400000131".

Apunte de fecha 26/02/2003:

Se corresponde con Factura número 63.856, de fecha 26/02/2003, emitida por Copiadora Innovadas, SA., a nombre de Special Events SL, bajo el concepto "Toner TC....", por un importe de 71,56 Euros. (Folio 70.030, Tomo 78, R-13 Bis).

Dicho documento presenta anotación manuscrita en parte inferior "J.S., junto con un número 400000131".

Apunte de fecha 21/02/2003:

Se corresponde con Factura número F03/164, de fecha 21/02/2003, emitida por ROCHEL SL., a nombre de Special Events SL, bajo el concepto "Por Alquiler de Mobiliario Diverso...", por un importe de 380,36 Euros. (Folio 70.031, Tomo 78, R-13 Bis).

Dicho documento presenta anotación manuscrita en parte inferior "J.S. 400000093".

Apunte de fecha 21/02/2003:

Se corresponde con Factura número F03/163, de fecha 21/02/2003, emitida por ROCHEL SL., a nombre de Special Events SL, bajo el concepto "Por Alquiler de Mobiliario Diverso...", por un importe de 95,41 Euros. (Folio 70.032, Tomo 78, R-13 Bis).

Dicho documento presenta anotación manuscrita en parte inferior "J.S. 400000093".

Apunte de fecha 30/01/2003:

Se corresponde con Factura número 63.856, de fecha 30/01/2003, emitida por Copiadora Innovadas, SA., a nombre de Special Events SL, bajo el concepto "Copias A4.. , Maquina instalada Oficina Electoral PP", por un importe de 409,68 Euros. (Folio 70.033, Tomo 78, R-13 Bis).

Dicho documento presenta anotación manuscrita en parte inferior "JS. 400000131".

Apunte de fecha 23/01/2003:

Se corresponde con Resguardo de Caja de El Corte Inglés, de fecha 23/01/2003, relativo a la compra de diversos artículos (Escuadras, Atornillado), por un importe de 45,58 Euros. (Folio 70.034, Tomo 78, R-13 Bis).

Dicho documento presenta anotación manuscrita en parte derecha "CAJA ENERO/03".

Apunte de fecha 22/01/2003:

Se corresponde con Factura número 016/07588, de fecha 22/01/2003, emitida por Menaje del Hogar, a nombre de Special Events SL, relativo a la compra de diversos artículos (Frigorífico, Microondas, TV Philips 14" y Cafetera Solac), por un importe de 543,97 Euros. (Folio 70.035, Tomo 78, R-13 Bis).

Dicho documento presenta anotación manuscrita en parte superior "CAJA ENERO/03".

Apunte de fecha 21/02/2003:

Se corresponde con Factura número F03/48, de fecha 21/01/2003, emitida por ROCHEL SL., a nombre de Special Events SL, bajo el concepto "Por Alquiler de Mobiliario Diverso...", por un importe de 1.235,88 Euros. (Folio 70.036, Tomo 78, R-13 Bis).

Dicho documento presenta anotación manuscrita en parte inferior "JS. 400000093".

Apunte de fecha 21/01/2003:

Se corresponde con Factura número 62.853, de fecha 21/01/2003, emitida por Copiadora Innovadas, SA., a nombre de Special Events SL, bajo el concepto "Standard durante 6 meses de 1 pantalla de proyección...", por un importe de 4.650,83 Euros. (Folio 70.037, Tomo 78, R-13 Bis).

Dicho documento presenta anotación manuscrita en parte inferior "J.S. 400000131".

4 Organización de distintos eventos particulares a nombre de Jesús SEPÚLVEDA RECIO.

Son varios los documentos hallados, dentro del procedimiento de referencia, los cuales indican que por parte de la organización de Fco. CORREA SANCHEZ se efectuó la preparación y posterior pago de diversos eventos familiares de Jesús SEPULVEDA RECIO, entre los años 2.001 a 2.005, cuyo detalle pasa a exponerse acto seguido.

4.1 Año 2.001.

Los documentos analizados indican la organización de actos relacionados con un evento de carácter privado de Jesús SEPÚLVEDA RECIO, el pasado día 09-06-01, siendo estos los siguientes:

-Folio con anotación manuscrita "FIESTA PAYASOS. 9/JUNIO 01". (Folio 63.258, Tomo 67, R-13 Bis).

-Factura 1020, de fecha 13/06/01, emitida por ABRAKADABRA (Fernando LOPEZ VELOSO, NIF.: 32.633.068-R), a nombre de Special Events SL., por importe de 40.000 Pts., bajo el concepto "Decoración con Globos de Cumpleaños Infantil instalada el 09-06-01, en C/Begonias n° 8 de Pozuelo.". (Folio 51.369, Tomo 55, R-13 Bis).

-Carátula Fax, de fecha 06/06/01, emitido por Ana AMOR (Special Events), y dirigido a Fernando VELOSO (Abrakadabra), bajo la Ref.: FIESTA CUMPLEAÑOS - 9 de JUNIO", en donde consta como dirección del evento Sr. Jesús SEPULVEDA/Ana AMOR, C/Begonias 8, Urb. Monteclaro, Pozuelo de Alarcón (Madrid), firmado por Ana AMOR, con anotación manuscrita "OK F.C.". (Folio 51.370, Tomo 55, R-13 Bis).

Destacar la anotación manuscrita que consta en la parte baja del documento, junto a la firma de Ana AMOR, "OK F.C.", de la cual se infiere que es Fco. CORREA SANCHEZ (F.C.) quien da el visto bueno a dicho presupuesto.

-Carátula Fax, de fecha 13/06/01, emitido por ABRAKADABRA, dirigido a Ana AMOR (Special Events), en donde se le remite Copia de la Factura correspondiente a Decoración con Globos realizada el pasado sábado en C/Begonias N° 8 de Pozuelo. (Folio 51.368, Tomo 55, R-13 Bis).

-Copia de justificante de pago por transferencia bancaria, de fecha 04-07-2.001, por importe de 39.200 Pts, ordenante Special Events SL., beneficiario Fernando LOPEZ VELOSO, con el sello de la entidad bancaria. (Folio 51.367, Tomo 55, R-13 Bis). Con respecto a lo reflejado en este Documento, como se puede observar en los movimientos bancarios de la cuenta del Banco Santander N° 0049 1893 05 2610268224, titularidad de Special Events, aportados al procedimiento judicial con el correspondiente mandamiento judicial, en el mismo consta el pago de la cantidad de dinero anteriormente indicada.

-Carátula Fax, de fecha 09/06/01, emitido por Ana AMOR (Special Events), y dirigido a Luis BERMEJO (Teatro del Zurdo), bajo la Ref.: "FIESTA CUMPLEAÑOS - 9 de JUNIO", en donde consta como dirección del evento Sr. Jesús SEPULVEDA/Ana AMOR, C/Begonias 8, Urb. Monteclaro, Pozuelo de Alarcón (Madrid), firmado por Ana AMOR. (Folio 63.263, Tomo 67, R-13 Bis).

-Fax remitido por Teatro del Zurdo, a Special Events (Ana AMOR), en donde consta Presupuesto de "Payasos para animación del día 9 de Junio", entre las 17:00 y las 20:00 horas, por un importe de 65.000 Pts. (Folio 63.265, Tomo 67, R-13 Bis).

-Hoja de Costes de Special Events SL, en donde figura el importe del Acto a celebrar el pasado 09 de Junio de 2.001, en el Hotel Melia Castilla, para un acto denominado "FIESTA CUMPLEAÑOS", en donde figura anotado el importe del coste a facturar por los distintos proveedores de servicios que participan en dicho Acto (Teatro del Zurdo y Abrakadabra-Globos), ningún importe asociado a la columna "FACTURADO", y un saldo negativo de -105.000 Pts., en la columna denominada "BENEFICIO". (Folio 63.261 vuelto, Tomo 67, R-13 Bis).

Del análisis de los documentos descritos se puede establecer que la Sociedad Special Events SL., efectuó la organización y posterior pago de un acto particular de Jesús SEPÚLVEDA RECIO el pasado 09 de junio de 2.001, cuya previsión de coste inicial ascendió a 105.000 Pts (65.000 Pts. + 40.000 Pts) = 631,06 Euros.

Con respecto a la acreditación del pago efectuado por los servicios prestados por parte de la empresa "Teatro del Zurdo", señalar que si bien no se ha encontrado justificante en soporte papel o informático que acredite al pago de tales servicios, tal y como figura en el texto del documento anteriormente descrito (Carátula Fax, de fecha 09 de Junio de 2.001, Folio 63.263, Tomo 67, R-13 Bis), se infiere que dicho pago se habría efectuado al contado en las Oficinas de la Empresa el pasado 12 de Junio del 2.001, tal y como se señala en el mismo.

4.2 Año 2.002.

Los documentos analizados indican la organización de actos relacionados con un evento de carácter privado de Jesús SEPÚLVEDA RECIO, el pasado día 14-06-02, siendo estos los siguientes:

-Folio con anotación manuscrita "FIESTA PAYASOS. 14/JUNIO/02". (Folio 64.804, Tomo 69, R-13 Bis).

-Presupuesto elaborado por Interglobo (Realizar Eventos Especiales S.L.), de fecha 13/06/02, remitido a Ana AMOR (Special Events), por un importe de 1.210 Euros, relacionada con Decoración con Globos. (Folio 64.806, Tomo 69, R-13 Bis).

-Documento con anotaciones manuscritas relativa a fiesta Cumpleaños en fecha 14/06/02. (Folio 64.815, Tomo 69, R-13 Bis).

-Fax remitido desde Producciones el Zurdo SL, a Ana AMOR (Special Events), en donde consta el detalle de fiesta de animación para cumpleaños del día 14 de Junio del 2.001, por importe de 510,86 Euros mas Iva, con anotaciones manuscritas "Sr. D. Jesús SEPULVEDA - C/Begonias 8, Urb. Monteclaro - 28223 Pozuelo de Alarcón. P.O. de Álvaro PEREZ". (Folio 64.812, Tomo 69, R-13 Bis).

Destacar que la persona que consta en el conforme del presupuesto por parte de Special Events es el llamado Álvaro PEREZ ALONSO.

-Correo electrónico de Ana AMOR (aamor@fcsgrupo.com), para interglobo@interglobo.net, de fecha 10 de junio de 2.002, Asunto FIESTA CUMPLEAÑOS - 14 junio 02, en donde constan diversos detalles del acto a celebrar y como Dirección: Sr. D. Jesús SEPULVEDA, C/Begonias, 8, Urb. Monteclaro, POZUELO DE ALARCON (Madrid). (Folio 64.811, Tomo 69, R-13 Bis).

-Carta manuscrita de Ana AMOR a José Luis IZQUIERDO, bajo la Ref.: Fiesta Payasos, de fecha 13 de Junio 2.002, en donde se solicita se efectúe Transferencia a Interglobo por 701,80 Euros (Iva Inc.). (Folio 69.690, Tomo 76, R-13 Bis).

-Resguardo de Disposición de pago mediante transferencia, de fecha 13/ Junio 02, por importe de 701,80 Euros, bajo el concepto Fiesta cumpleaños Jesús SEPULVEDA 14/06/02, Solicitado por Rafael DE LEON, y anotación manuscrita "P.O. Álvaro PEREZ". (Folio 69.691, Tomo 76, R-13 Bis).

Destacar la persona que consta en la firma de la autorización del libramiento de fondos mediante transferencia por parte de Special Events que no es otro que el llamado Álvaro PEREZ ALONSO.

-Factura de REALIZAR EVENTOS ESPECIALES, SL., N° 2002298, de fecha 14/06/2002, a nombre de Special Events SL., con la Descripción "Decoración Cumpleaños C/Begoña 8, Urb. Monteclaro.........", por importe de 1.210 Euros (1.403,60 Euros Iva Inc.) y anotación manuscrita en parte central "FIESTA J. SEPÚLVEDA 400000113". (Folio 69.639, Tomo 76, R-13 Bis).

-Copia de justificante de pago por transferencia bancaria, de fecha 14-06-2.002, por importe de 701,80 Euros, ordenante Special Events SL., beneficiario INTERGLOBO, de la entidad bancaria Santander Central Hispano. (Folio 69.641, Tomo 76, R-13 Bis).

-Copia de justificante de pago por transferencia bancaria, de fecha 24-06-2.002, por importe de 701,80 Euros, ordenante Special Events SL., beneficiario INTERGLOBO, de la entidad bancaria Santander Central Hispano. (Folio 69.642, Tomo 76, R-13 Bis).

-Factura de Producciones El Zurdo SL, N° 15/02, de fecha 18 de Junio de 2.002, a nombre de Special Events SL, bajo el concepto "Actuación y Animación con juegos de una animadora y una actriz el día 14 de Junio del 2.002 en el cumpleaños de Pozuelo de Alarcón, C/Begonias, 8, Urb. Monteclaro", por un importe de 592,59 Euros y anotación manuscrita "FIESTA J.SEPULVEDA". (Folio 12.154, Tomo 22, R-13 Bis).

-Carta de Special Events SL, a Producciones EL ZURDO SL, de fecha 24 de Junio de 2.002, en donde se les remite Cheque N°. 0103264, por importe de 592,59 Euros, como pago de la Factura 15/02. (Folio 12.153, Tomo 22, R-13 Bis).

-Hoja de Costes, relativa a FIESTA CUMPLEAÑOS, Pozuelo - Madrid, 14 de Junio 2002, en donde figura el coste de los proveedores del acto PRODUCCIONES EL ZURDO e INTERGLOBO, con un total de 1.720,86 Euros, ninguna cantidad anotada en la columna FACTURADO y una cantidad resultante en la columna BENEFICIO de -1.720,86 Euros. (Folio 64.805, Tomo 69, R-13 Bis).

Del análisis de los documentos descritos se puede establecer que la Sociedad Special Events SL., efectuó la organización y posterior pago de un acto con motivo del cumpleaños de uno de los hijos de Jesús SEPULVEDA RECIO el pasado 14 de junio de 2.002, y cuyo coste ascendió a un importe de 1.720,86 Euros (1.996,19 Euros Iva Inc./ 701,80 + 701,80 + 592,59).

4.3 Año 2.004.

Los documentos analizados indican la organización de actos relacionados con un evento de carácter privado de Jesús SEPULVEDA RECIO, el pasado día 19-06-04, siendo estos los siguientes:

Documento Archivo de Word "fiesta cumpleaños jesus sepúlveda.13820.doc", hallado en el interior de disco Duro DD SEAGATE CON SN 5JT1T38Y, dentro de la Carpeta con ruta Documentos\doc, correspondiente al registro efectuado en la Nave ubicada en la calle Arganda num. 11, del Polígono Ventorro del Cano, de Alcorcón (Madrid), en donde se almacenaba diversa documentación de la Sociedad Easy Concept Comunicación, SL. (R-13 Bis), cuyo contenido es:

Se hace constar que una vez solicitada a la Sociedad REALIZAR EVENTOS ESPECIALES, SL. (Interglobo), copia de la facturación que hubiera tenido con las distintas empresas de la organización de Fco. CORREA SANCHEZ, y una vez recibida la misma se puede comprobar como la mercantil Down Town Consulting SL., efectúo el pago de la Factura de REALIZAR EVENTOS ESPECIALES SL, con N° 2004296, de fecha 22-06-04, por importe de 7.274,59 Euros, el pasado día 27-09-2.004, mediante transferencia bancaria. En la misma no se especifica el acto en concreto a que se refiere, o si dicha Factura engloba el coste de varios eventos, por tanto, con los datos obtenidos hasta este momento no es posible cuantificar el montante de dicho evento.

Entre los documentos remitidos figura copia del fax anteriormente descrito bajo el nombre "fiesta cumpleaños jesus Sepúlveda.13820.doc", esta vez firmado por la llamada Isabel JORDAN.

-Documentos Remitidos por REALIZAR EVENTOS ESPECIALES SL:

1) Copia Factura N° 2004-296 (Anexo II):

Factura 2004-296, emitida por Realizar Eventos Especiales, SL., a nombre de Down Town Consulting SL., por importe de 7.274,59 Euros, en el mes de Junio Del año 2.004, que presenta anotación manuscrita "Pagado con transferencia de BBVA a Banesto. 27/09. 7.274 E.". El texto de dicha Factura apenas se puede apreciar al tratarse de un documento escaneado.

2) Copia de extracto de movimientos bancarios de la entidad Banesto en donde consta el pago de la Factura anterior (Anexo II):

3) Copia de Fax emitido por Down Town Consulting SL., de fecha 18-06-04, a Pedro GONZALEZ (Interglobo), con la firma de Isabel JORDAN (Anexo II):

Dicho documento es una copia impresa del ya mencionado con anterioridad "Documento Archivo de Word "fiesta cumpleaños jesús sepúlveda.13820.doc", en donde consta la firma de la llamada Isabel JORDAN.

4.4 Año 2.005.

Los documentos analizados indican la organización de un evento privado para Jesús SEPULVEDA RECIO, el pasado día 07-05-05, siendo estos los siguientes:

-Carpeta con anotación manuscrita "COMUNION HIJA JESUS SEPULVEDA, 7-MAYO-2005". (Folio 67.972, Tomo 73, R-13 Bis).

-Fax remitido por Inter-Globo (Eva de la Fuente), el pasado 06/05/2005, a las 09:38 horas, dirigido a "Alejandra", en la que se remite presupuesto por diversos artículos, por un importe total de 1580 Euros mas el Iva, junto con diversas anotaciones manuscritas relativas al pago de la cantidad total "1.580 E. + 16% Iva = 1.832,80 Euros; 50% - 916,40; RESTO 50% = 916,40 E; TOTAL = 1.822,80 E.". (Folio 67.975, Tomo 73, R-13 Bis).

-Justificante de Transmisiones por fax, de fecha 11/05/2005, a las 11:24 horas, del Num. 91-7990645 (EASY CONCEPT), con copia del Fax detallado con anterioridad. (Folio 67.977, Tomo 73, R-13 Bis).

-Presupuesto remitido por Pedro Miguel GONZALEZ ALONSO (Interglobo/Decormedia), a Alejandra LASCARAY (Downtown), el pasado 15-02-2005. (Folio 67.978, Tomo 73, R-13 Bis).

-Justificante de Transferencia Bancaria, de fecha 06/05/2005, por el que Easy Concept Comunicación, SL., efectúa traspaso de 916,40 Euros, a DECORMEDIA, SL. (0182 5516 01 0201507091), bajo el concepto "PAGO 50% ACEPTACIÓN PRESUPUESTO". (Folio 67.974, Tomo 73, R-13 Bis).

-Justificante de Transferencia Bancaria, de fecha 11/05/2005, por el que Easy Concept Comunicación, SL., efectúa traspaso de 916,40 Euros, a DECORMEDIA, SL.

(0182 5516 01 0201507091), bajo el concepto "PAGO 50% RESTANTE PRESUPUESTO". (Folio 67.976, Tomo 73, R-13 Bis).

Del análisis de los documentos descritos se puede establecer que la Sociedad Easy Concept Comunicación SL., efectuó la organización y posterior pago de un evento privado de Jesús SEPULVEDA RECIO el pasado 07 de mayo de 2.005, y cuyo coste ascendió a un importe de 1.580 Euros (1.822 Euros Iva Inc.).

5 Pago de obsequios por parte de la organización de Francisco CORREA SANCHEZ.

Significar que han sido hallados otros documentos que indican la compra de artículos de regalo con destino a personas vinculadas al llamado Jesús SEPULVEDA RECIO, durante el periodo temporal referido al año 2.003, siendo estos los siguientes:

-Factura 141757/35847, de fecha 07/11/2003, emitida por Louis Vuitton España, SA., a nombre de Special Events S.L., por importe de 610 Euros, en donde se detalla la compra de dos artículos, cuyo precio unitario asciende a 225 y 385 Euros c/u. (Folio 32.322, Tomo 39, R-13 Bis).

Dicho documento presenta anotación manuscrita en su parte inferior "OBSEQUIO ANA MATO".

-Resguardo de entrega de efectivo a Álvaro PEREZ, de fecha 06/11/2003, por importe de 480 Euros, en donde consta como concepto "Compra obsequio Ana Mato". (Folio 32.323, Tomo 39, R-13 Bis).

6 Identificación de la persona de Jesús SEPÚLVEDA RECIO bajo las siglas J.S.

Son varios los Informes elaborados por esta Unidad en los que se ha detallado la utilización de diversas siglas, por parte de la organización de Francisco CORREA SANCHEZ, a la hora de referirse a diversas personas que ostentan/ban diferentes cargos públicos o responsabilidades directivas en la formación política Partido Popular, en los distintos archivos informáticos y documentos en soporte papel, obtenidos dentro del procedimiento de referencia y que reflejan los numerosos pagos de los que dichas personas habrían sido objeto, con origen, entre otros, en el cobro de comisiones tras la adjudicación de contratos públicos, por parte de diferentes Administraciones (Locales y/o Autonómicas o Central), a empresas directamente vinculadas o relacionadas con la organización de Francisco CORREA SÁNCHEZ.

Entre los distintos cargos públicos que habrían recibido distintas cantidades de dinero así como la entrega de distintos obsequios, a tenor de lo reflejado en los distintos documentos y archivos informáticos analizados, se encuentra el llamado Jesús SEPÚLVEDA RECIO, ex alcalde de la localidad de Pozuelo de Alarcón (Madrid), siendo esta la persona cuya identidad se "enmascara" por parte de la organización de Francisco CORREA SANCHEZ bajo las siglas "J.S." a la hora de referirse al mismo.

Son varios los documentos utilizados para la confección del presente Informe, en los que se utilizan las siglas "J.S.", "JS." y/o "J SEPULVEDA", para referirse al llamado Jesús SEPULVEDA RECIO, encontrándose entre ellos los siguientes documentos en soporte papel:

1°) Nombre de la Carpeta "EXTRACTO CTA. J. SEPULVEDA":

2°) Anotaciones relativas a gastos del "Despacho Electoral de Jesus SEPÚLVEDA":

3°) Facturas donde se refleja el pago de gastos electorales del PP y la anotación manuscrita "J.S.":

-Factura número 64.855, de fecha 31/03/2003, emitida por Copiadora Innovadas, SA., a nombre de Special Events SL, ya descrita con anterioridad dentro del apartado referido al pago de gastos de la Campaña Electoral de Jesús SEPULVEDA RECIO. (Folio 70.025, Tomo 78, R-13 Bis).

Dicho documento presenta anotación manuscrita en parte inferior "DESPACHO ELECTORAL J.S., junto con un número".

-Factura número F03/649, de fecha 21/08/2003, emitida por ROCHEL SL., a nombre de Special Events SL., ya descrita con anterioridad dentro del apartado referido al pago de gastos de la Campaña Electoral de Jesús SEPULVEDA RECIO (Folio 70.009, Tomo 78, R-13 Bis).

Dicho documento presenta anotación manuscrita en parte inferior "JS. 4300000093".

A tenor de lo mencionado en los distintos apartados del presente Informe se puede establecer que existe una correlación directa entre "Jesús SEPÚLVEDA", "J. SEPÚLVEDA", "J.S." y "JS.".

7 Conclusiones.

La información hallada en el interior de la Nave ubicada en la calle Arganda num. 11, del Polígono Ventorro del Cano, de Alcorcón (Madrid), en donde se almacenaba diversa documentación de la Sociedad Easy Concept Comunicación, SL. (R-13 Bis), corrobora las distintas conclusiones expuestas en el Informe elaborado por esta Unidad (Inf. 4.841/^11 UDEF-BLA, de fecha 19-01-2011), y que están relacionadas con la prestación de distintos servicios turísticos para el llamado Jesús SEPULVEDA RECIO y/o distintos miembros de su familia entre los años 2.000 y 2.004 por parte de la empresa PASADENA VIAJES que son financiados por parte de la organización de Francisco CORREA con fondos ajenos al sistema financiero. Así mismo se ponen de manifiesto distintas entregas de dinero en metálico con destino a la cuenta de servicios de Pozuelo de Alarcón, el pago de gastos relacionados con la organización de distintos Actos de carácter político y el montaje de la Oficina Electoral del Partido Popular de dicha localidad con motivo de las elecciones autonómicas del año 2.003 y la organización de distintos eventos familiares particulares del propio Jesús SEPULVEDA RECIO.

Los distintos documentos analizados permiten determinar que el periodo temporal en que se prestan distintos servicios turísticos, a través de la agencia Pasadena Viajes, con destino al llamado Jesús SEPULVEDA RECIO y/o su familia abarca el periodo comprendido entre los años 2.000 a 2.004, ascendiendo el importe total de los distintos servicios turísticos prestados para dicha persona durante dicho espacio temporal a 50.049,01 Euros.

IMPORTE SERVICIOS TURÍSTICOS PERIODO 2.000/2.004

AÑO IMPORTE
2.000 10.234,57
2.001 11.822,06
2.002 14.392,50
2.003 6.759,16
2.004 6.840,72
Total 50.049,01

Los gastos en que incurre la empresa PASADENA VIAJES por los servicios prestados a Jesús SEPULVEDA relativos a: desplazamientos en medios de locomoción (Billetes de avión, Tren y Alquiler de vehículos), alojamientos en establecimientos hoteleros y otros servicios de carácter turístico generan una deuda de éste con la compañía que contablemente se anota en la cuenta de clientes del activo circulante. Se trata de un derecho de cobro por la prestación de un servicio dentro de las actividades que realiza la empresa, ejercitable frente al beneficiario de los mismos.

Existe una utilización recurrente del concepto "Clientes Central" a la hora de confeccionar los distintos albaranes por parte de la Agencia Pasadena Viajes, para referirse a los distintos servicios turísticos prestados al llamado Jesús SEPÚLVEDA RECIO y/o distintos miembros de su familia, lo que indica, a tenor de lo establecido en anteriores informes que se trata de servicios cuya contratación y posterior pago se efectúa directamente desde las oficinas centrales del grupo empresarial de Fco. CORREA SANCHEZ, sitas en la C/Serrano 40, 4° Izq., de Madrid.

Son varios los documentos reflejados en la confección del presente Informe en donde consta el detalle y coste total de los distintos servicios turísticos prestados a nombre del llamado Jesús SEPÚLVEDA RECIO, los cuales presentan anotaciones manuscritas tales como "COBRO FICTICIO 12/12/03" y "COBRO FICTICIO Caja Blasco 2.001".

A título de ejemplo, y en cuanto a la anotación manuscrita "COBRO FICTICIO 12/12/03" señalar que la fecha que figura en esta coincide con el momento temporal en el que por parte de la organización de Fco. CORREA SANCHEZ se efectúa ingreso de 20.000 Euros en metálico en la cuenta bancaria de Pasadena Viajes de la entidad BBVA 0182 5516 03 0201501512, utilizando para ello Fondos de la Caja B, de la Propia organización, tal y como se refleja en el Archivo denominado "Caja Pagos B.xls/R-16 Doc-5".

1°) Anotación "COBRO FICTICIO 12/12/03" (Folio 69.933, Tomo 78, R-13 Bis):

2°) Ingreso en metálico, de fecha 12/12/03, en la cuenta bancaria de Pasadena Viajes SL, con fondos procedentes de la denominada "Caja B" de la organización de Fco. CORREA SANCHEZ:

Véase por un lado lo establecido en el archivo de Excel denominado "Caja Pagos B.xls", Hoja 2 (R-16, Doc. 5), donde se puede observar la existencia del siguiente apunte:

Una vez comprobado el listado de movimientos bancarios de la Cuenta de la entidad bancaria BBVA 0182 5516 03 0201501512 (actual 0182 5502 020 00850151), cuyo titular es la Sociedad Pasadena Viajes, se puede observar como el pasado 12/12/2003 (el mismo día que el reflejado en la anotación del apunte del archivo de excel analizado y que consta en la anotación manuscrita anteriormente indicada), constan dos ingresos en metálico por importe de 10.000 Euros c/u (20.000 Euros en total), en la Oficina 0915 de dicha entidad, sita en la C/Goya 15, de Madrid.

El motivo por el cual se emplea en las anotaciones la terminología "COBRO FICTICIO" se infiere que viene determinada porque no se trata del destinatario final de los servicios (en este caso Jesús SEPULVEDA RECIO) quien hace frente al coste de los mismos, sino que es la propia organización de Fco. CORREA SANCHEZ, a través de fondos de su Caja B, quien efectúa el pago de los mismos.

La organización emplea el dinero en metálico como medio de pago, en este caso para saldar una deuda, de forma recurrente ante la elevada disponibilidad que tiene de efectivo favoreciendo con ello la introducción en el sistema económico de fondos de procedencia ilícita.

A la hora de efectuar los ingresos de distintas cantidades de dinero en metálico, con fondos de la Caja B de la organización de Fco. CORREA SANCHEZ, en la Cuenta de la Sociedad Pasadena Viajes, al objeto de saldar el importe de los distintos servicios turísticos prestados a nombre del llamado Jesús SEPULVEDA RECIO, se recurre en ocasiones a un ingreso fraccionado del total de su importe en el mismo día, una operativa cuya finalidad, esta destinada a dificultar el rastro posterior de dichas operaciones ante una eventual investigación judicial/policial futura.

Muestra de lo anterior se encuentra en el ingreso en metálico efectuado el pasado 12-12-2.003, en la cuenta bancaria del BBVA titularidad de Pasadena Viajes, por importe de 20.000 Euros, destinados a pagar el importe de los distintos servicios turísticos prestados a nombre de Jesús SEPULVEDA RECIO durante los años 2.002 y 2.003, donde se efectúan dos ingresos consecutivos ese mismo día de 10.000 Euros cada uno, fondos estos que se vuelve a reiterar proceden de la Caja B de la organización de Fco. CORREA SANCHEZ.

Igualmente, tal y como se ha expuesto en el desarrollo del presente Informe, la organización de Fco. CORREA SANCHEZ efectuó el pago de distintas Facturas a través de la sociedad SPECIAL EVENTS relacionadas con proveedores de material de oficina y electrodomésticos (Copiadoras Innovadas, Rochel, Menaje del Hogar y EL Corte Inglés), durante el periodo comprendido entre el 21-01-2003 y el 21-08-2003, por un importe total conjunto de 15.600,16 Euros, cuyo destino no era otro que el equipamiento de la Oficina Electoral del Partido Popular, sita en la Plaza Mayor num. 2, de Pozuelo de Alarcón (Madrid), con motivo de la Campaña de Elecciones Municipales llevadas a cabo el pasado 25-05-2.003 y cuyo desglose consta en el documento "GASTOS DESPACHO ELECTORAL J.SEPULVEDA".

En el documento bajo el título "Extracto Cuenta de Servicios Pozuelo" (Folio 70.006, Tomo 78, R-13 Bis), se detallan una serie de entregas de efectivo, hasta un total de 60.000 Euros, por parte de la organización de Fco. CORREA SANCHEZ, con destino a una cuenta destinada al pago de servicios en Pozuelo de Alarcón como el título de dicho documento así lo indica, siendo los autores materiales de dichas entregas los llamados Francisco CORREA (PC), Álvaro PEREZ (Álvaro) y Pablo CRESPO (Pablo), cuyo desglose es el siguiente:

Fecha Autor Entrega Importe
anterior PC 6.000
26-12-2.002 Álvaro 12.000
28-12-2.002 Pablo 12.000
16-01-2.003

30.000

Total 60.000

El origen de los fondos que pasan a nutrir la denominada Cuenta de Servicios Pozuelo se encuentra en la Caja B de la organización en las oficinas de la C/Serrano, como queda reflejado en el archivo "Caja X PC.xls" del dispositivo de memoria externa (R-16-Exp.5) intervenido a José Luis IZQUIERDO LOPEZ durante el registro de su domicilio particular, y cuyos movimientos son los siguientes:

Fecha Concepto Notas Importe
26/11/2002 Sobre JS (Ent.a Álvaro Pérez) Orden PC - 6.000,00 €
26/11/2002 Ent. a Álvaro Pérez (2 MM Pts.) Orden PC - 12.000,00 €
28/11/2002 Sobre JS (Ent.a Pablo Crespo) Orden PC - 6.000,00 €
16/01/2003 Ent.P.Crespo Instrucciones PC - 30.000,00 €

Fuente: Archivo "Caja X PC.xls", R-16-Doc. 5, Apuntes de Hojas 2 y 3.

También se integran en la denominada cuenta "Extracto Cuenta de Servicios Pozuelo", a tenor de los apuntes que figuran en la misma, los pagos de distintos actos de la formación política Partido Popular de Pozuelo de Alarcón, instalación de la sede o facturas de copiadores y mobiliario.

Por tanto esta cuenta recoge el conjunto de fondos aplicados por la organización a financiar actuaciones en Pozuelo vinculadas a la campaña electoral de las municipales de mayo de 2003 y otros actos relacionados, ya sea mediante entregas en efectivo o a través del pago de actos o prestaciones de servicios, sirviendo como sistema de control interno del dinero empleado.

Así mismo son varios los actos de carácter político relacionados con Jesús SEPULVEDA RECIO de cuya organización se encargaron las sociedades del grupo empresarial de Fco. CORREA SANCHEZ y de los cuales, en la información analizada hasta este momento, no se ha encontrado su abono por parte de la formación política indicada y/o el propio Jesús SEPULVEDA, siendo estos los siguientes:

-10/02/2003, Acto Candidato a la Alcaldía de Pozuelo de Alarcón. Jesús SEPULVEDA. Taberna El Doblao.

-29/01/2003, Acto PP Madrid, Campaña Menos Impuestos Mas Seguridad. Pozuelo de Alarcón. Jesús SEPULVEDA.

Las Hojas de Costes efectuadas por parte de la organización de Fco. CORREA SANCHEZ, con motivo de su participación en los actos indicados con anterioridad, no reflejan cantidad alguna en la columna destinada al importe finalmente facturado al cliente, tan solo el importe del coste de los distintos proveedores que participan en dicho evento.

No se ha encontrado documentación ni anotación de ningún tipo, en cualquier tipo de soporte, que indiquen que por parte de la formación política Partido Popular de Pozuelo de Alarcón, ni del propio Jesús SEPULVEDA RECIO se ha satisfecho cantidad de dinero alguna, con destino al pago de las distintas facturas abonadas previamente por parte de Special Events SL a los distintos proveedores de dichos actos.

Así mismo distintas Sociedades de la organización empresarial de Fco. CORREA SANCHEZ (Special Events SL, Down Town Consulting SL y Easy Concept Comunicación SL), se hicieron cargo de la organización y posterior pago, de distintos eventos de carácter particular para Jesús SEPULVEDA RECIO entre los años 2.001 a 2.005.

El importe de los distintos actos de carácter particular/familiar a nombre de Jesús SEPULVEDA RECIO, de cuya organización y posterior pago se han hecho cargo distintas sociedades de Fco. CORREA SANCHEZ asciende a un mínimo de 4.555,24 Euros, al cual habría que añadirle el importe del acto celebrado en el año 2.004.

No es posible determinar con exactitud en estos momentos el coste exacto del dinero abonado por la organización de Fco. CORREA SANCHEZ con motivo de la organización del evento efectuado el pasado 19 de Junio de 2.004, bajo la denominación "Fiesta Cumpleaños Jesús SEPULVEDA", ya que a tenor de las distintas anotaciones que figuran en los documentos analizados, y el examen de la Factura (N° 2004206) emitida por parte de REALIZAR EVENTOS ESPECIALES, SL (Interglobo), por importe de 7.274,59 Euros, en la misma se podrían haber incluido el coste de la organización de algún otro tipo de acto vinculado al grupo de de empresas de Fco. CORREA.

Uno de los documentos utilizados con asiduidad por parte de las distintas empresas de la organización de Fco. CORREA SANCHEZ, a la hora de reflejar el coste de los distintos proveedores y el finalmente facturado al cliente de los distintos actos en cuya organización se participaba era el denominado "Hoja de Costes". En el documento analizado con anterioridad (Folio 64.805, Tomo 69, R-13 Bis), se constata como en el acto relativo a la Fiesta de Cumpleaños organizada el pasado 14 de junio de 2.002, figura anotado el coste de los distintos proveedores externos que participan en el mismo con un total de 1.720,86 Euros (Producciones Zurdo e Interglobo), y en la columna "FACTURADO" donde debería anotarse el importe a reflejar en la Factura a emitir por parte de la organización de Fco. CORREA SANCHEZ, no consta importe alguno, figurando en la columna "BENEFICIO" un saldo negativo de -1720,86 Euros, de lo que se infiere la intención inicial de no facturar al cliente final el importe del acto de cuya organización se encargaban.

No se ha encontrado entre la documentación analizada hasta estos momentos, de los distintos registros, ya sea en soporte papel o informático, ningún documento, archivo informático, anotación o papel que refleje la percepción por parte de la organización de Fco. CORREA SÁNCHEZ, de cantidad de dinero alguna procedente del llamado Jesús SEPÚLVEDA RECIO, al objeto de efectuar el pago de los servicios prestados por Pasadena Viajes para el mismo y que han sido analizados con anterioridad, al igual que sucede con la organización de distintos eventos particulares, a lo largo de los años 2.001 a 2.005.

Otro dato a tener en cuenta, es que las personas que encargaban y autorizaban el libramiento de fondos para efectuar los distintos pagos relacionados con el montaje de actos de carácter particular y privado a nombre del llamado Jesús SEPULVEDA RECIO, tal y como lo reflejan los distintos documentos analizados para la confección del presente Informe, se tratarían de los llamados Fco. CORREA SANCHEZ y Álvaro PEREZ ALONSO.

Significar que la organización de Fco. CORREA SANCHEZ empleaba de forma sistemática y reiterada a lo largo del tiempo, la utilización de los acrónimos "J.S.", "JS" o "J. SEPULVEDA", para referirse al llamado Jesús SEPULVEDA RECIO, tal y como acreditan las distintas anotaciones manuscritas efectuados en los distintos documentos descritos a lo largo del presente Informe.

8 Documentación que se adjunta.

Anexo I: Documentación en Soporte papel de los distintos Registros.

Anexo II: Documentos aportados por REALIZAR EVENTOS ESPECIALES SL.

Anexo III: CD conteniendo en su interior copia del presente Informe, archivos informáticos utilizados y anexos correspondientes.

El presente informe ha sido elaborado por los funcionarios con carné profesional 81.067 y 76.134, y es ampliatorio a Inf. 4.841 UDEF-BLA, de fecha 19/01/2.011.

El Inspector, Jefe de Grupo
C.P.: 81.067.-


Tienda de Libros Radio Nizkor On-Line Donations

DDHH en España
small logoThis document has been published on 05Feb13 by the Equipo Nizkor and Derechos Human Rights. In accordance with Title 17 U.S.C. Section 107, this material is distributed without profit to those who have expressed a prior interest in receiving the included information for research and educational purposes.